Última actualización :
27/11/2025
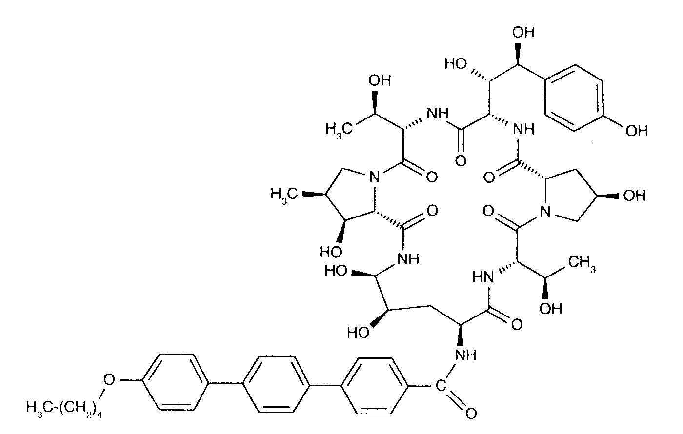
Antifúngico   Anidulafungin  
Inyectables
Estabilidad en solucion Estabilidad en mezcla Factores que influyen sobre la estabilidad Compatibilidades método de inyección Bibliografía pdf
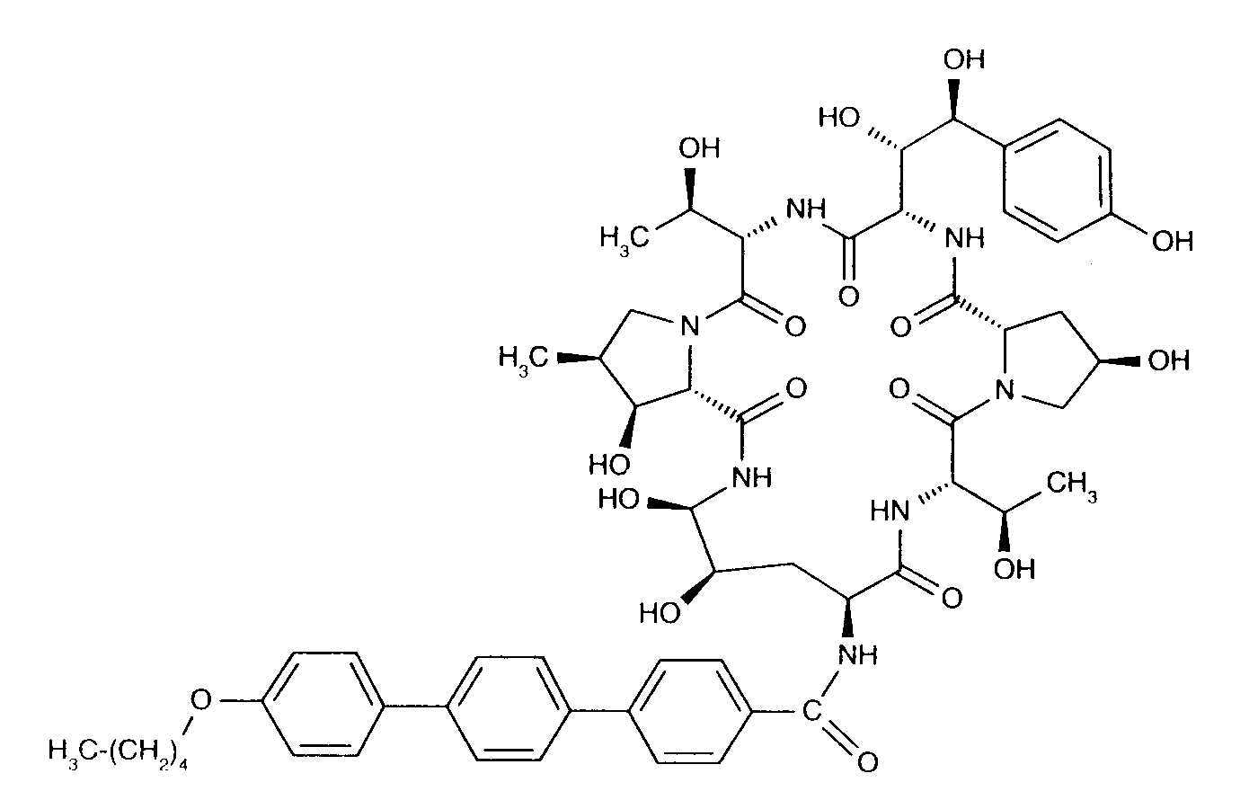
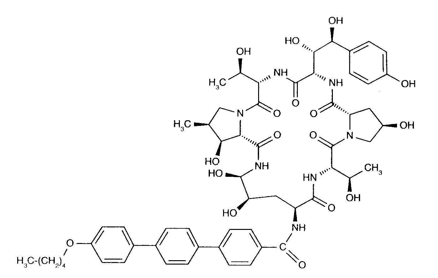
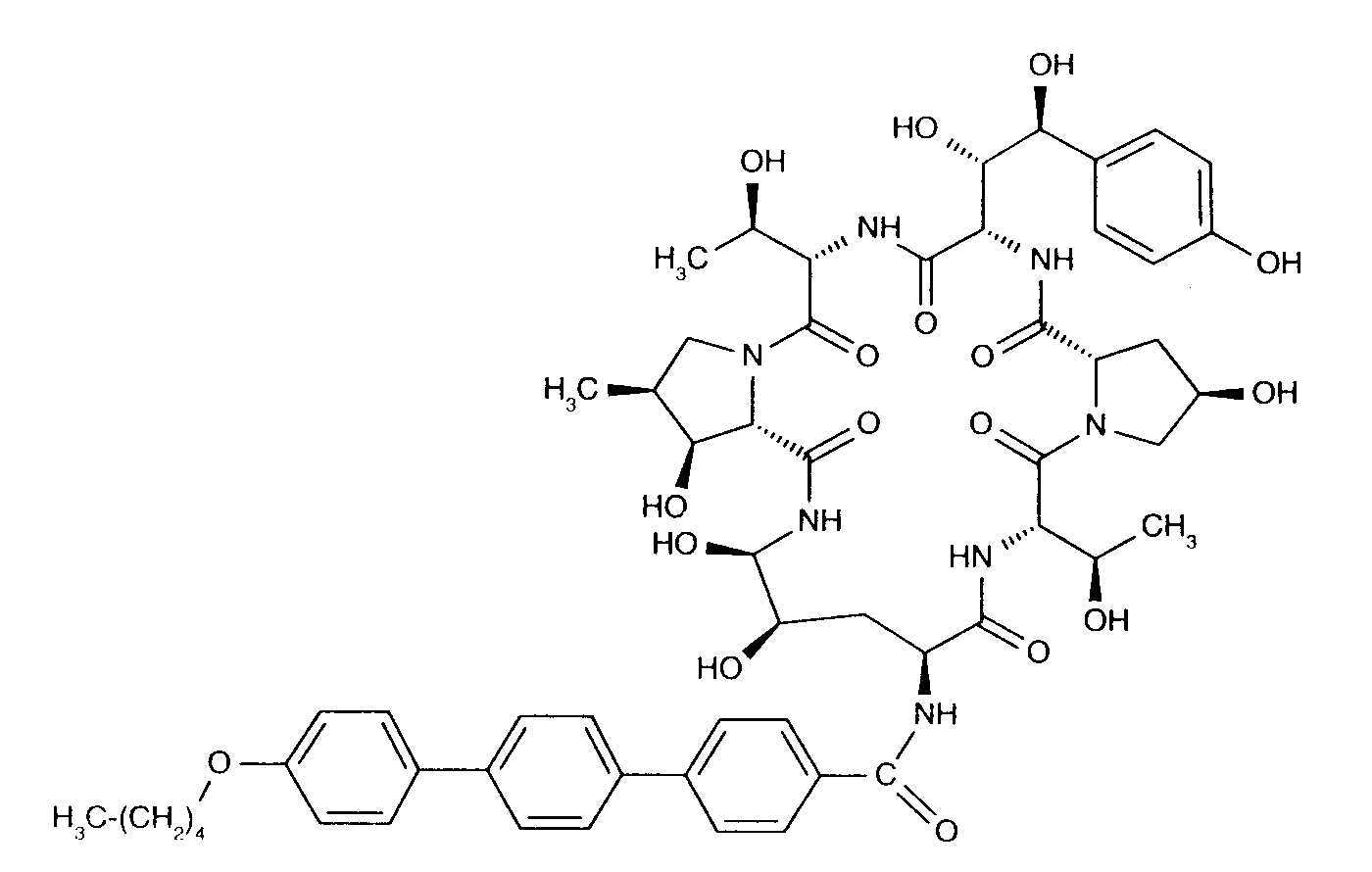
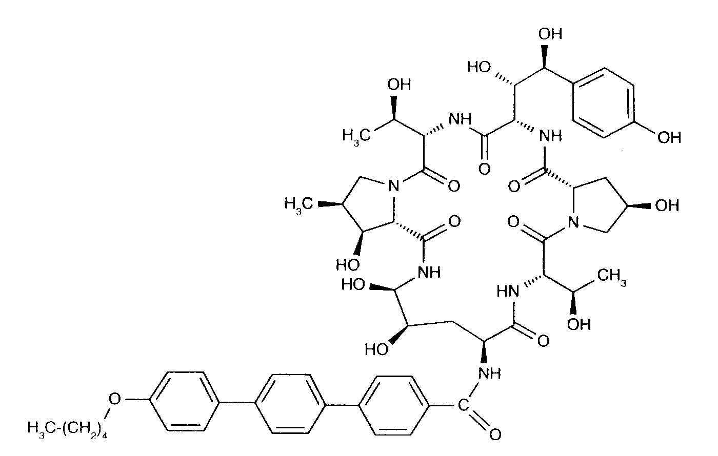
   Estructura química  

Nombre comercial   Nombre comercial     

Los nombres comerciales son orientativos y los excipientes de la formulación pueden ser distintos dependiendo del país y del laboratorio fabricante.

Anidulafungin Alemania, Bélgica, Gran Bretaña
Anidulafungina Brasil, España
Ecalta Alemania, Argentina, Bélgica, Brasil, Canadá, Chile, Colombia, Dinamarca, España, Estados Unidos de América, Finlandia, Francia, Gran Bretaña, Grecia, Hungría, Italia, Luxemburgo, Malasia, Marruecos, Noruega, Países Bajos, Polonia, Rumania, Suecia, Suiza, Turquía, Venezuela
Equalta México
Eraxis Australia, Canadá, Estados Unidos de América
Fuzig México
método de inyección   método de inyección :Anidulafungin     
Ausencia de datos

  Mentions Légales