Dernière mise à jour :
18/03/2026
Antifongique   Anidulafungin  
injectable
Stabilité des solutions Stabilité en mélange Facteur influençant la stabilité Compatibilités Voie d’administration Bibliographie pdf
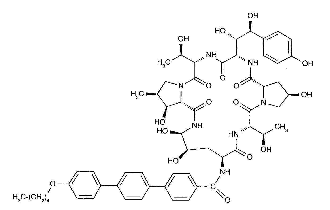
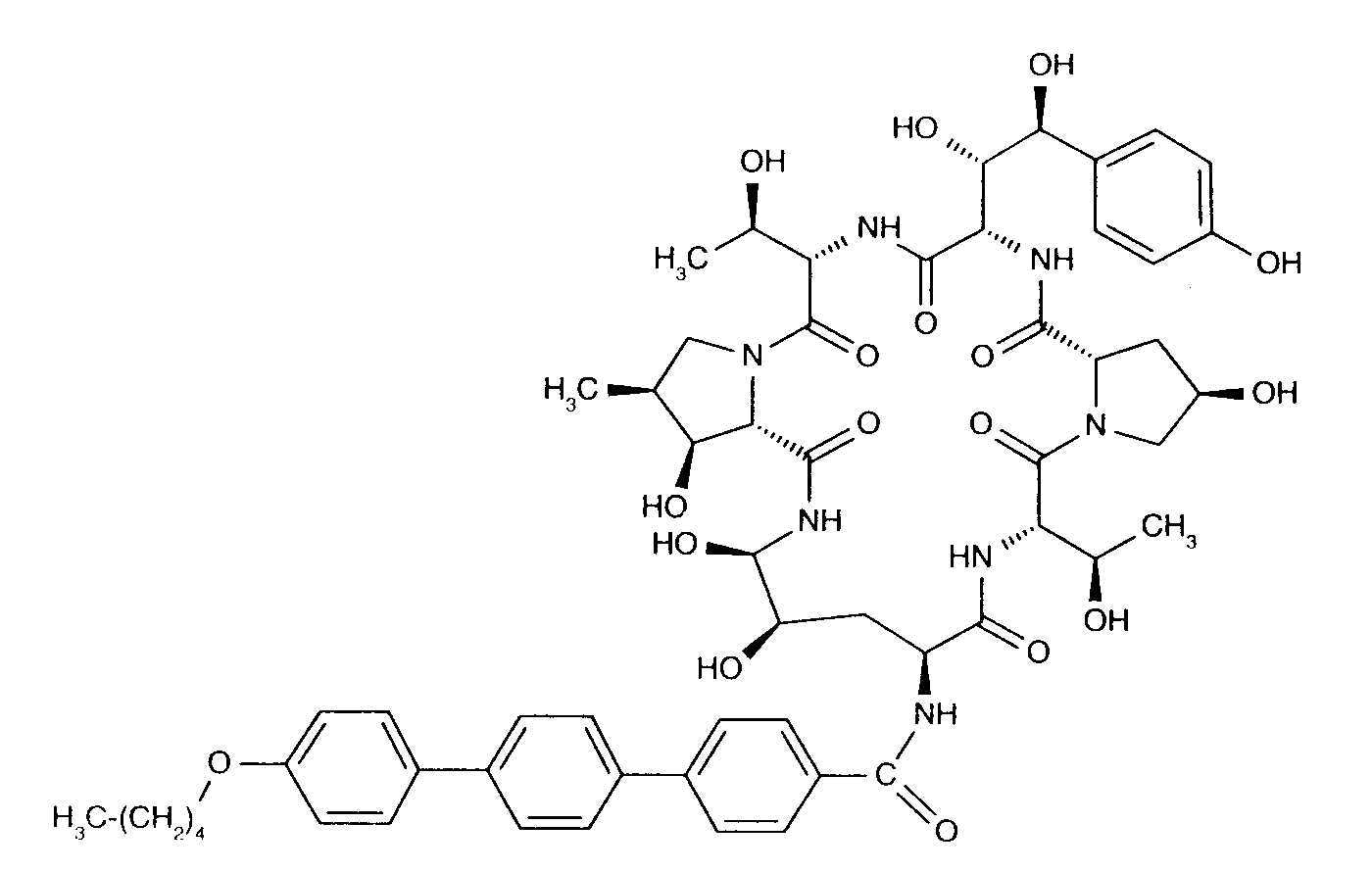
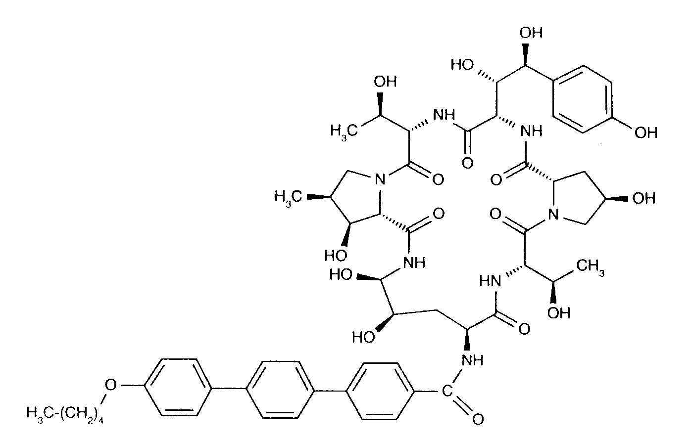
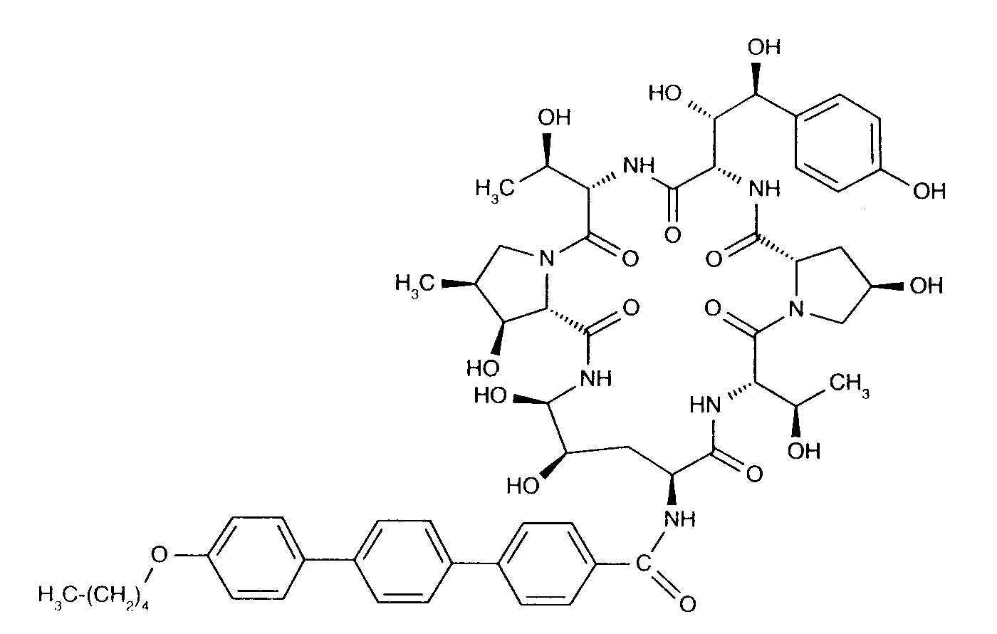
   Structure chimique  

Noms commerciaux   Noms commerciaux     

Les noms commerciaux sont donnés à titre indicatif et la composition en excipients peut être différente selon les pays et selon les laboratoires

Anidulafungin Allemagne, Belgique, Grande Bretagne
Anidulafungina Brésil, Espagne
Ecalta Allemagne, Argentine, Belgique, Brésil, Canada, Chili, Colombie, Danemark, Espagne, Etats Unis d’Amérique, Finlande, France, Grande Bretagne, Grèce, Hongrie, Italie, Luxembourg, Malaisie, Norvège, Pays bas, Pérou, Pologne, Roumanie, Suède, Suisse, Turquie, Vénézuela
Equalta Mexique
Eraxis Australie, Canada, Etats Unis d’Amérique
Fuzig Mexique
Voie d’administration   Voie d’administration :Anidulafungin     
Aucune donnée

  Mentions Légales