آخر تحديث :
27/11/2025
مضاد للفطريات   Anidulafungin  
حقن
الاستقرار في حلول استقرار مخاليط العوامل التي تؤثر على الاستقرار التوافق طريقة التعاطي مراجع pdf
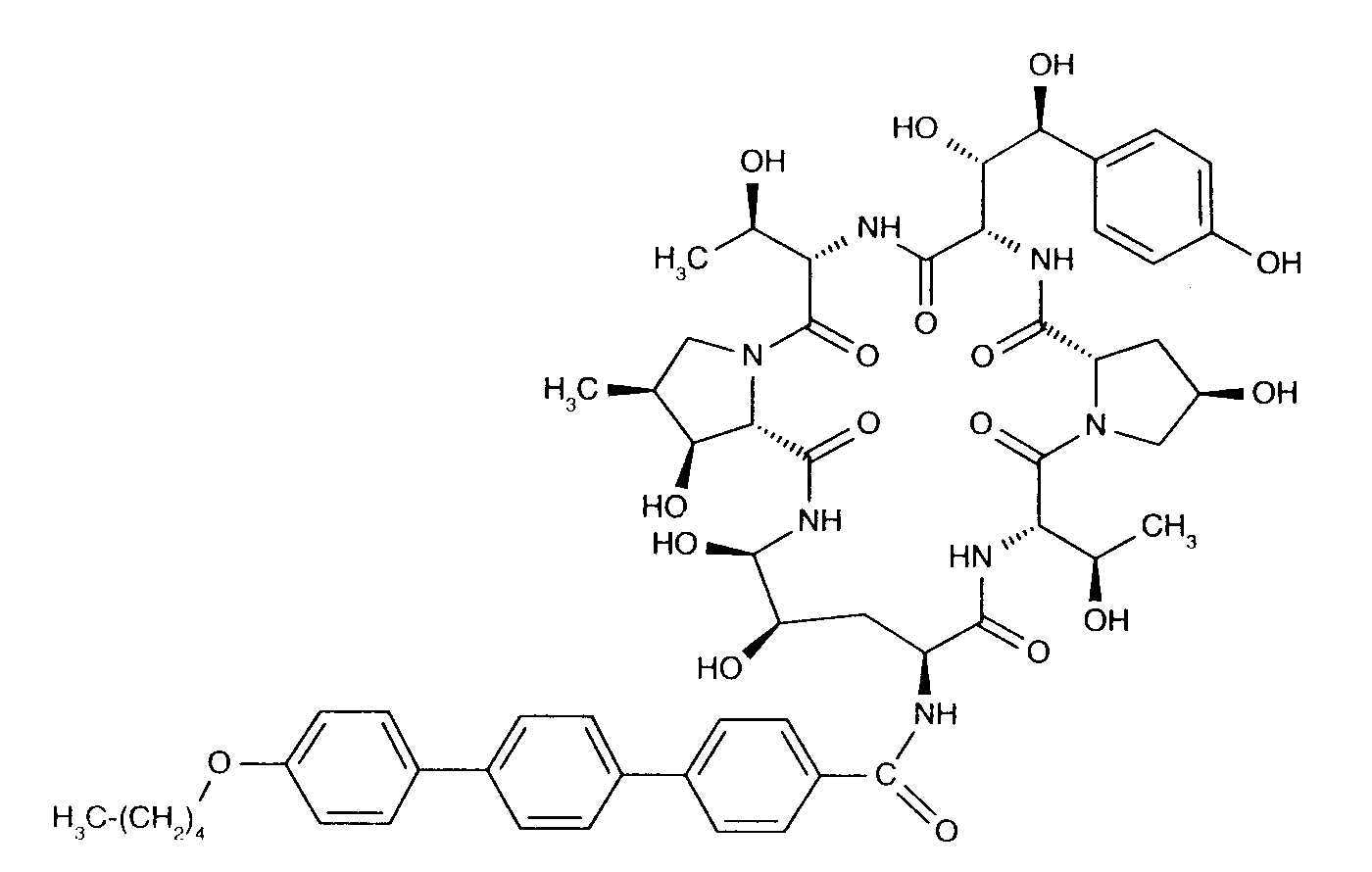
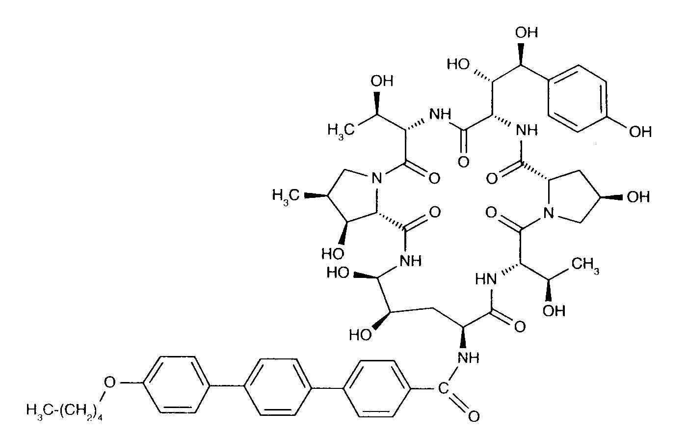
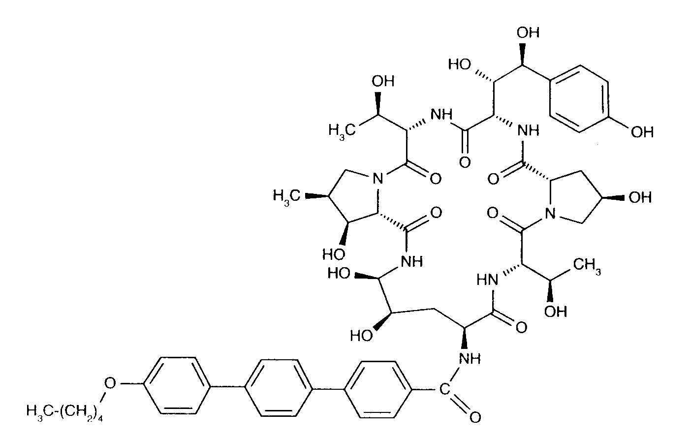
   التركيب الكيميائي  

حجز الاسم التجاري   حجز الاسم التجاري     

تحذير الأسماء التجاريه المختلفه قد تحتوي علي محتوي إضافات مختلفة حسب الدوله و المعمل

Anidulafungin ألمانيا, بريطانيا العظمي, بلجيكا
Anidulafungina إسبانيا, البرازيل
Ecalta ألمانيا, إسبانيا, إيطاليا, الأرجنتين, البرازيل, الدنمارك, السويد, النرويج, الولايات المتحدة, بريطانيا العظمي, بلجيكا, بولندا, بيرو, تركيا, تشيلي, رومانيا, سويسرا, فرنسا, فنزويلا, فنلندا, كندا, كولومبيا, لوكسمبورغ, ماليزيا, هنغاريا, هولندا, يونان
Equalta المكسيك
Eraxis أستراليا, الولايات المتحدة, كندا
Fuzig المكسيك
طريقة التعاطي   طريقة التعاطي :Anidulafungin     
لا توجد بيانات

  Mentions Légales