Ultimele actualizari :
18/03/2026
Vasodilatator   Alprostadil  
Injectabil
Stabilitatea in solutie Stabilitatea in amestec Factorii care influenteaza stabilitatea Compatibilitate Microunde Bibliografie pdf
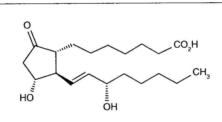
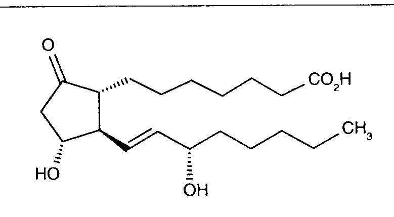
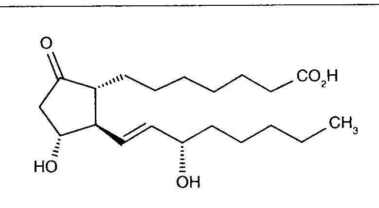
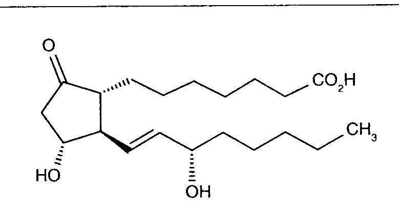
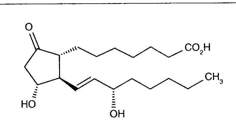
   Formula chimica  

Denumirea comerciala   Denumirea comerciala     

Trade names are indicative and excipients composition can be different depending on the country and manufacturers

Alfaprostin Egipt
Alistint Mexic, Peru
Alprostadil Arabia Saudita, Argentina, Australia, Canada, Chilli, Ecuador, Germania, Malaezia, Peru, Romania, Spania, SUA, Turcia
Alprostapint Argentina, Austria, Columbia, Ecuador, Peru, Ungaria
Alprostar Italia
Aplicav
Cardiobonisol Polonia
Caverject Austria, Belgia, Brazilia, Canada, Chilli, Columbia, Danemarca, Elvetia, Emiratele Arabe Unite, Franta, Italia, Marea Britanie, Norvegia, Polonia, Portugalia, Slovenia, Spania, SUA, Suedia, Turcia
Edex Franta, Grecia, SUA, Tunisia
Liple Japonia
Minprog Austria, Germania
Ostapint Mexic, Peru
Palux Japonia
Pridax Austria, Germania, Romania, Spania
Prolisina VR Argentina
Prostandin Japonia
Prostavasin Austria, Egipt, Germania, Iran, Italia, Luxemburg, Polonia, Ungaria
Prostin VR Arabia Saudita, Belgia, Canada, Columbia, Croatia, Danemarca, Elvetia, Finlanda, Grecia, Iran, Italia, Luxemburg, Malaezia, Marea Britanie, Norvegia, Olanda, Polonia, Portugalia, SUA, Ungaria, Venezuela
Prostine VR Franta
Vasaprostan Romania
Microunde   Microunde :Alprostadil     
Voie
Perfuzie in continuu

  Mentions Légales