Zadnji put ažurirano :
18/03/2026
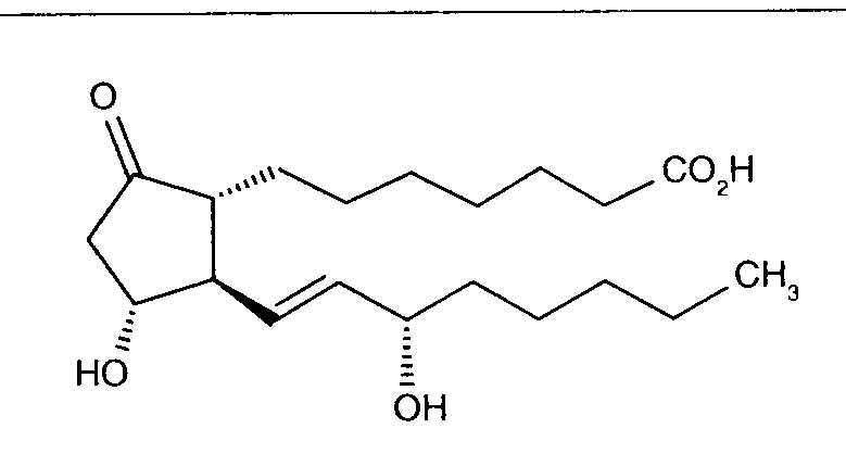
vazodilatator   Alprostadil  
injekcija
Stabilizacija rješenja Stabilnost mješavine Stabilizacijski faktor Kompatibilnosti način davanja lijeka Bibliografija pdf
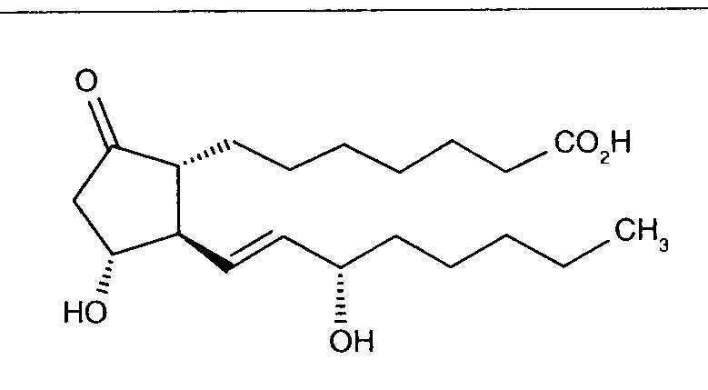
   Kemijska struktura  

Nekomercijalni   Nekomercijalni     

Zaštićeni nazivi su indikativni i sastav ekscipijensa može biti različit ovisno o državi i laboratorijima

Alfaprostin Egipat
Alistint Meksiko, Peru
Alprostadil Argentina, Australija, Čile, Ekvador, Kanada, Malezija, Njemačka, Peru, Rumunjska, S A D, Saudijska Arabija, Španjolska, Turska
Alprostapint Argentina, Austrija, Ekvador, Kolumbija, Madžarska, Peru
Alprostar Italija
Aplicav
Cardiobonisol Poljska
Caverject Austrija, Belgija, Brazil, Čile, Danska, Francuska, Italija, Kanada, Kolumbija, Norveška, Poljska, Portugal, S A D, Slovenija, Španjolska, Švedska, Švicarska, Turska, Ujedinjeni Arapski Emirati, Velika Britanija
Edex Francuska, Grčka, S A D, Tunis
Liple Japan
Minprog Austrija, Njemačka
Ostapint Meksiko, Peru
Palux Japan
Pridax Austrija, Njemačka, Rumunjska, Španjolska
Prolisina VR Argentina
Prostandin Japan
Prostavasin Austrija, Egipat, Iran, Italija, Luksemburg, Madžarska, Njemačka, Poljska
Prostin VR Belgija, Danska, Finska, Grčka, Hrvatska, Iran, Italija, Kanada, Kolumbija, Luksemburg, Madžarska, Malezija, Nizozemska, Norveška, Poljska, Portugal, S A D, Saudijska Arabija, Švicarska, Velika Britanija, Venecuela
Prostine VR Francuska
Vasaprostan Rumunjska
način davanja lijeka   način davanja lijeka :Alprostadil     
Voie
trajna perfuzija

  Mentions Légales