Utolsó frissítés :
18/03/2026
Értágító   Alprostadil  
Injekció
Az oldatok stabilitása A keverékek stabilitása Stabilitást befolyásoló tényezők Kompatibilitás Az alkalmazás módja Irodalom pdf
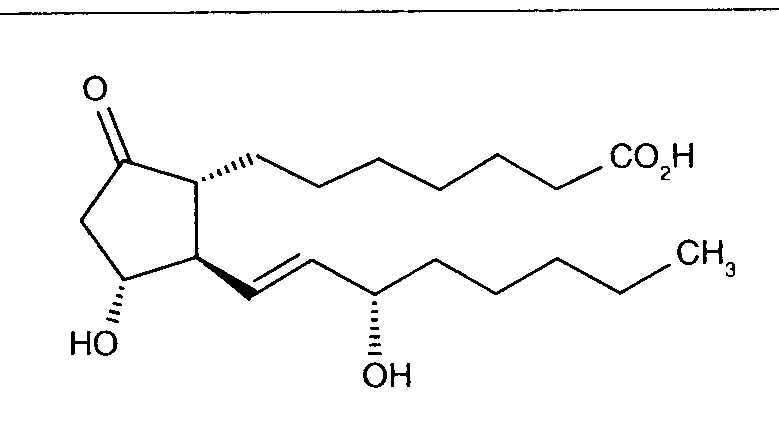
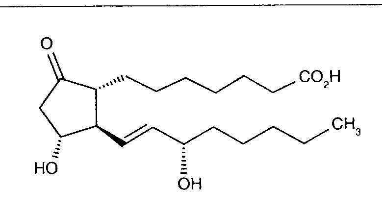
   Kémiai szerkezet   

Kereskedelmi név   Kereskedelmi név     

A kereskedelmi név meghatározó jelentőségű: a készítmények összetétele országonként, előállítóként eltérő lehet

Alfaprostin Egyiptom
Alistint Mexikó, Peru
Alprostadil Amerikai Egyesült Államok, Argentína, Ausztrália, Chile, Ecuador, Kanada, Malaysia, Németország, Peru, Románia, Spanyolország, Szaúd-Arábiában, Törökország
Alprostapint Argentína, Ausztria, Colombia, Ecuador, Magyarország, Peru
Alprostar Olaszország
Aplicav
Cardiobonisol Lengyelország
Caverject Amerikai Egyesült Államok, Ausztria, Belgium, Brazília, Chile, Colombia, Dánia, Egyesült Arab Emírségek, Franciaország, Kanada, Lengyelország, Nagy-Britannia, Norvégia, Olaszország, Portugália, Spanyolország, Svájc, Svédország, Szlovénia, Törökország
Edex Amerikai Egyesült Államok, Franciaország, Görögország, Tunézia
Liple Japán
Minprog Ausztria, Németország
Ostapint Mexikó, Peru
Palux Japán
Pridax Ausztria, Németország, Románia, Spanyolország
Prolisina VR Argentína
Prostandin Japán
Prostavasin Ausztria, Egyiptom, Irán, Lengyelország, Luxemburg, Magyarország, Németország, Olaszország
Prostin VR Amerikai Egyesült Államok, Belgium, Colombia, Dánia, Finnország, Görögország, Hollandia, Horvátország, Irán, Kanada, Lengyelország, Luxemburg, Magyarország, Malaysia, Nagy-Britannia, Norvégia, Olaszország, Portugália, Svájc, Szaúd-Arábiában, Venezuela
Prostine VR Franciaország
Vasaprostan Románia
Az alkalmazás módja   Az alkalmazás módja :Alprostadil     
Voie
Folyamatos infúzió

  Mentions Légales