Posledná aktualizácia :
18/03/2026
antibiotikum   Azithromycine  
Injekcia
Dermálny prípravok
Stabilita roztokov Stabilita v zmesiach Faktory ovplyvňujúce stabilitu Kompatibility spôsob podania Odkazy na literatúru PDF
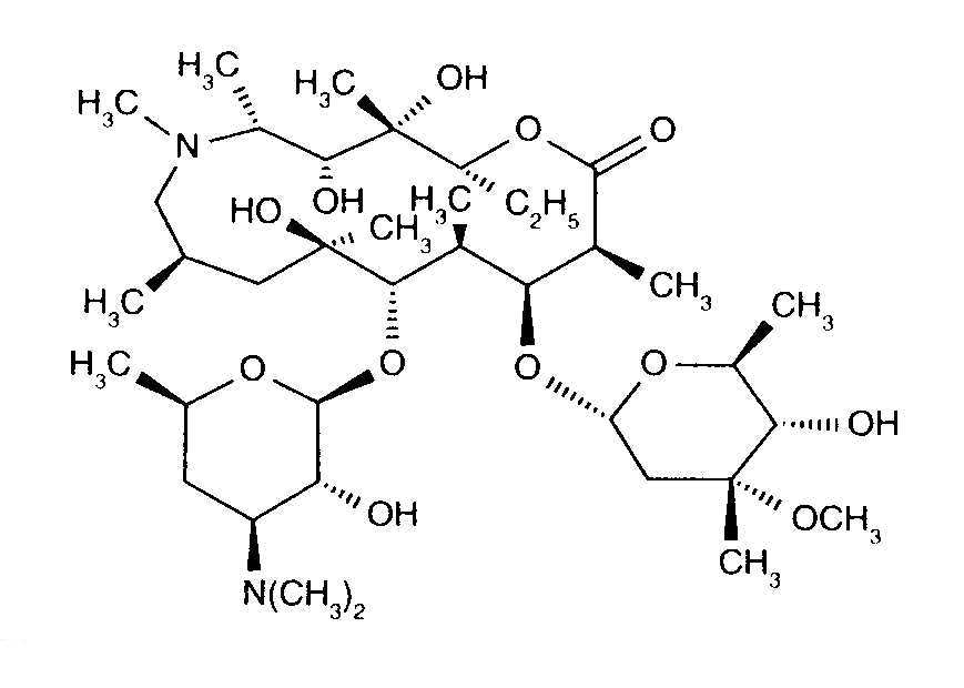
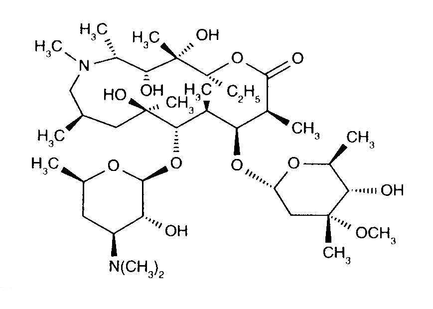
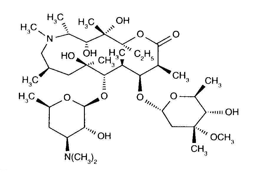
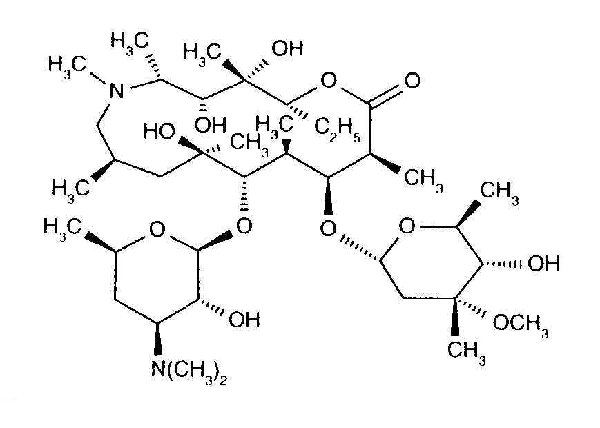
   Chemický vzorec  

Obchodný názov   Obchodný názov     

Obchodné názvy sú orientačné, a zloženie pomocných látok sa môže líšiť v závislosti od krajiny a výrobcu.

Azithromycin Kanada
Azithromycina Ekvádor
Azithromycine Dr Erbeth Nemecko
Azitromax Švédsko
Sumamed Maďarsko, Poľsko
Zaret Kolumbia
Zedbac Írsko, Veľká Británia
Zetamac Česká republika
Zithromac Japonsko
Zithromax Austrália, Čile, Egypt, Fínsko, Kanada, Malajzia, Portugalsko, Saudská Arábia, Spojené arabské emiráty, Spojené štáty Americké
Stabilita roztokov   Injekcia   Stabilita roztokov : Azithromycine     
žiadne údaje

  Mentions Légales