viimane versioon :
03/02/2026
antibiootikum   Azithromycine  
Süsteravim
salv
Stabiilsus lahustes Stabiilsust mõjutavad tegurid stabiilsust mõjutavad faktorid Sobimatus Manustamis viis Viited pdf
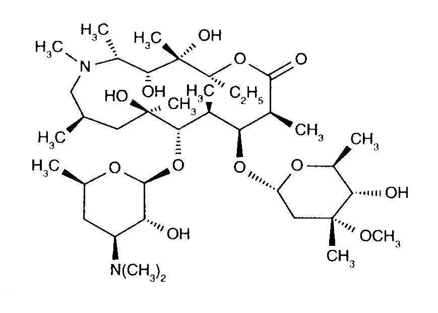
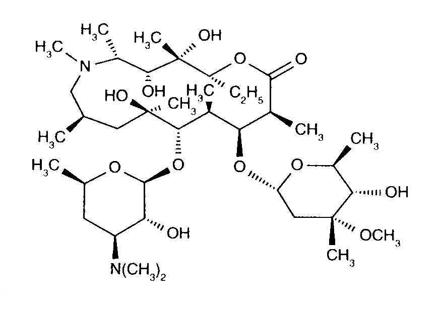
   keemiline struktuur  

Kaubanduslikud nimed erinevates maades   Kaubanduslikud nimed erinevates maades     

Preparaatide nimed on näitlikud ja abianete sisaldus võib erineda sõltuvalt riigist ja laborist

Azithromycin Kanada
Azithromycina Ecuador
Azithromycine Dr Erbeth Saksamaa
Azitromax Rootsi
Sumamed Poola, Ungari
Zaret Kolumbia
Zedbac Iirimaa, Suurbritannia
Zetamac Tšehhi
Zithromac Jaapan
Zithromax Ameerika ühendriigid, Araabia Ühendemiraadid, Austraalia, Egiptus, Kanada, Malaisia, Portugal, Saudi Araabia, Soome, Tšiili
Stabiilsus lahustes   Süsteravim   Stabiilsus lahustes : Azithromycine     
andmed puuduvad

  Mentions Légales