Pēdējā atjaunošana :
18/03/2026
Antibiotika   Azithromycine  
Injekcija
Ziedes
Šķīduma stabilitāte Maisījuma stabilitāte Stabilitāti ietekmējoši faktori Saderība Levadīšanas veids Literatūras saraksts pdf
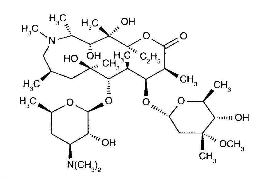
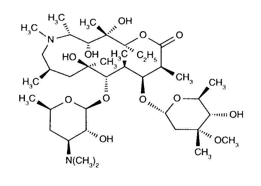
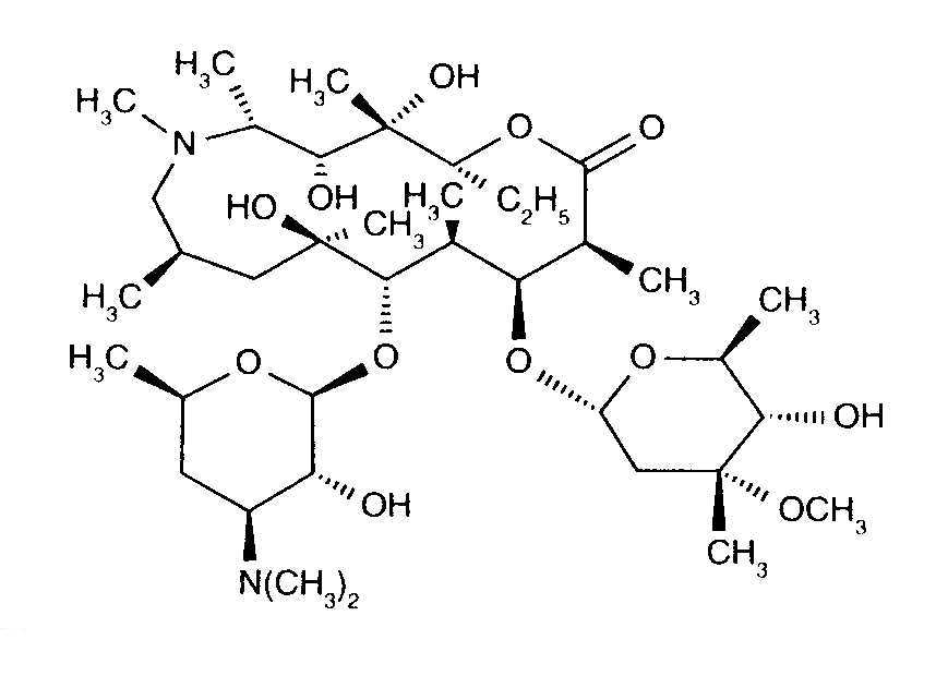
   Ķīmiskā uzbūve   

Oriģinālais nosaukums   Oriģinālais nosaukums     

Tirdzniecības nosaukumi ir apzīmējoši un palīgvielas var atšķirties dažādām valstīm un laboratorijām

Azithromycin Kanāda
Azithromycina Ekvadora
Azithromycine Dr Erbeth Vācija
Azitromax Zviedrija
Sumamed Polija, Ungārija
Zaret Kolumbija
Zedbac Īrija, Lielbritānija
Zetamac Čehija
Zithromac Japāna
Zithromax Amerikas Savienotās Valstis, Apvienotie Arābu Emirāti, Austrālija, Čīle, Ēģipte, Kanāda, Malaizija, Portugāle, Saūda Arābija, Somija
Šķīduma stabilitāte   Injekcija   Šķīduma stabilitāte : Azithromycine     
Nav datu

  Mentions Légales