Τελευταία ενημέρωση :
18/03/2026
Αντιβιοτικό   Azithromycine  
Ενέσιμο
Αλοιφές
Σταθερότητα διαλυμάτων Σταθερότητα σε μίγματα Παράγοντας που επηρεάζει τη σταθερότητα Συμβατότητες Τρόπος χορήγησης Βιβλιογραφία pdf
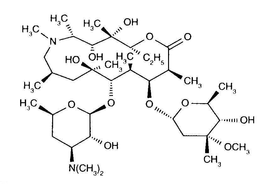
   χημική δομή  

Εμπορική ονομασία   Εμπορική ονομασία     

Οι εμπορικές ονομασίες είναι ενδεικτικές και η σύνθεση των εκδόχων μπορεί να διαφέρει ανάλογα με τη χώρα και τα εργαστήρια

Azithromycin Καναδάς
Azithromycina Εκουαδόρ
Azithromycine Dr Erbeth Γερμανία
Azitromax Σουηδία
Sumamed Ουγγαρία, Πολωνία
Zaret Κολομβία
Zedbac Ιρλανδία, Μεγάλη Βρετανία
Zetamac Δημοκρατία της Τσεχίας
Zithromac Ιαπωνία
Zithromax Yhdistyneet arabiemiirikunnat, Αίγυπτος, Αυστραλία, Η.Π.Α., Καναδάς, Μαλαισία, Πορτογαλία, Σαουδική Αραβία, Φινλανδία, Χιλή
Σταθερότητα διαλυμάτων   Ενέσιμο   Σταθερότητα διαλυμάτων : Azithromycine     
Δεν υπάρχουν πληροφορίες

  Mentions Légales