Siste oppdatering :
27/01/2026
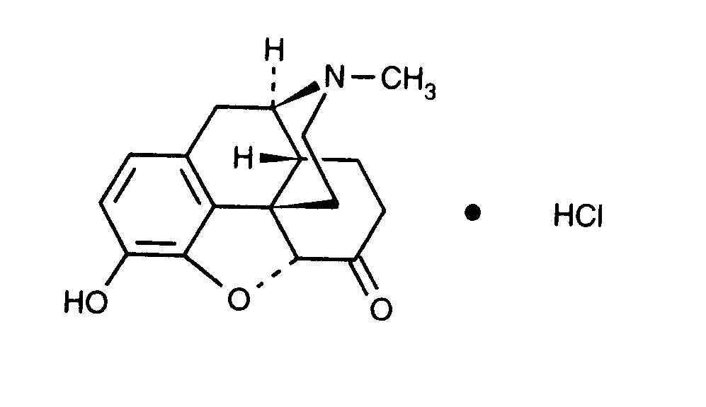
Analgetika   Hydromorphone hydrochloride  
Injeksjon
Oppløsningsstabilitet Stabilitet i blandinger Faktorer som påvirker stabiliteten Kompatibilitet Administrasjonsmåte Referanser pdf
   Kjemisk struktur  

Handelsnavn   Handelsnavn     

Handelsnavn er veiledende og sammensetning av hjelpestoffer kan være forskjellig avhengig av land og produsent

Dilaudid Canada, USA
Hydal Østerrike
Palladon Danmark, Sveits
Palladone Storbritannia
Oppløsningsstabilitet   Injeksjon   Oppløsningsstabilitet : Hydromorphone hydrochloride     
Beholder Oppløsningsmiddel Konsentrasjon Temperatur Oppbevaring Varighet av stabilitet Referanser
Glass Ikke angitt 50 mg/ml 37°C Beskyttes mot lys
90 Dag
2305

Polyvinylklorid Natriumklorid 0,9 % ? mg/ml 25°C Ikke angitt
7 Dag
5073
Stabilitetsopplysninger fra produsent

Polyvinylklorid Natriumklorid 0,9 % ? mg/ml 37°C Ikke angitt
7 Dag
5073
Stabilitetsopplysninger fra produsent

Polyvinylklorid Natriumklorid 0,9 % ? mg/ml 4°C Ikke angitt
7 Dag
5073
Stabilitetsopplysninger fra produsent

Polyvinylklorid Natriumklorid 0,9 % 0,2 & 10 mg/ml 23°C Ikke angitt
90 Dag
4230
Bevisgrad A

Polyvinylklorid Natriumklorid 0,9 % 1 & 5 mg/ml 23°C Ikke angitt
42 Dag
120
Bevisgrad C

Polyvinylklorid Natriumklorid 0,9 % 1 & 5 mg/ml 4°C Beskyttes mot lys
42 Dag
120
Bevisgrad C

Polyvinylklorid Natriumklorid 0,9 % 20 mg/ml 22°C Ikke angitt
7 Dag
4664
Bevisgrad D

Polyvinylklorid Natriumklorid 0,9 % 20 mg/ml 37°C Ikke angitt
7 Dag
4664
Bevisgrad D

Polyvinylklorid Glukose 5 % ? mg/ml 25°C Ikke angitt
7 Dag
5073
Stabilitetsopplysninger fra produsent

Polyvinylklorid Glukose 5 % ? mg/ml 37°C Ikke angitt
7 Dag
5073
Stabilitetsopplysninger fra produsent

Polyvinylklorid Glukose 5 % ? mg/ml 4°C Ikke angitt
7 Dag
5073
Stabilitetsopplysninger fra produsent

Polyvinylklorid Glukose 5 % 1 & 5 mg/ml 23°C Ikke angitt
42 Dag
120
Bevisgrad C

Polyvinylklorid Glukose 5 % 1 & 5 mg/ml 4°C Beskyttes mot lys
42 Dag
120
Bevisgrad C

Polyetylen Natriumklorid 0,9 % ? mg/ml 25°C Ikke angitt
7 Dag
5073
Stabilitetsopplysninger fra produsent

Polyetylen Natriumklorid 0,9 % ? mg/ml 37°C Ikke angitt
7 Dag
5073
Stabilitetsopplysninger fra produsent

Polyetylen Natriumklorid 0,9 % ? mg/ml 4°C Ikke angitt
7 Dag
5073
Stabilitetsopplysninger fra produsent

Polyetylen Glukose 5 % ? mg/ml 25°C Ikke angitt
7 Dag
5073
Stabilitetsopplysninger fra produsent

Polyetylen Glukose 5 % ? mg/ml 37°C Ikke angitt
7 Dag
5073
Stabilitetsopplysninger fra produsent

Polyetylen Glukose 5 % ? mg/ml 4°C Ikke angitt
7 Dag
5073
Stabilitetsopplysninger fra produsent

Polyolefin Natriumklorid 0,9 % 0,2 & 10 mg/ml 23°C Ikke angitt
90 Dag
4230
Bevisgrad A

Etylenvinylacetat Natriumklorid 0,9 % ? mg/ml 25°C Ikke angitt
7 Dag
5073
Stabilitetsopplysninger fra produsent

Etylenvinylacetat Natriumklorid 0,9 % ? mg/ml 37°C Ikke angitt
7 Dag
5073
Stabilitetsopplysninger fra produsent

Etylenvinylacetat Natriumklorid 0,9 % ? mg/ml 4°C Ikke angitt
7 Dag
5073
Stabilitetsopplysninger fra produsent

Etylenvinylacetat Glukose 5 % ? mg/ml 25°C Ikke angitt
7 Dag
5073
Stabilitetsopplysninger fra produsent

Etylenvinylacetat Glukose 5 % ? mg/ml 37°C Ikke angitt
7 Dag
5073
Stabilitetsopplysninger fra produsent

Etylenvinylacetat Glukose 5 % ? mg/ml 4°C Ikke angitt
7 Dag
5073
Stabilitetsopplysninger fra produsent

Sprøyte polypropylen Natriumklorid 0,9 % ? mg/ml 25°C Ikke angitt
7 Dag
5073
Stabilitetsopplysninger fra produsent

Sprøyte polypropylen Natriumklorid 0,9 % ? mg/ml 37°C Ikke angitt
7 Dag
5073
Stabilitetsopplysninger fra produsent

Sprøyte polypropylen Natriumklorid 0,9 % ? mg/ml 4°C Ikke angitt
7 Dag
5073
Stabilitetsopplysninger fra produsent

Sprøyte polypropylen Natriumklorid 0,9 % 0,1 mg/ml 25°C Ikke angitt
100 Dag
4303
Bevisgrad A

Sprøyte polypropylen Natriumklorid 0,9 % 0,1 mg/ml 30°C Ikke angitt
30 Dag
5
Bevisgrad B

Sprøyte polypropylen Natriumklorid 0,9 % 1,5 & 80 mg/ml 23°C Lys
60 Dag
1706
Bevisgrad A +

Sprøyte polypropylen Natriumklorid 0,9 % 1,5 & 80 mg/ml 37°C Beskyttes mot lys
48 Tid
1706
Bevisgrad A +

Sprøyte polypropylen Natriumklorid 0,9 % 1,5 & 80 mg/ml 4°C Beskyttes mot lys
60 Dag
1706
Bevisgrad A +

Sprøyte polypropylen Glukose 5 % ? mg/ml 25°C Ikke angitt
7 Dag
5073
Stabilitetsopplysninger fra produsent

Sprøyte polypropylen Glukose 5 % ? mg/ml 37°C Ikke angitt
7 Dag
5073
Stabilitetsopplysninger fra produsent

Sprøyte polypropylen Glukose 5 % ? mg/ml 4°C Ikke angitt
7 Dag
5073
Stabilitetsopplysninger fra produsent

Sprøyte polypropylen Ingen 10 mg/ml 30°C Ikke angitt
30 Dag
5
Bevisgrad B

Ikke angitt Natriumklorid 0,9 % 0,2 mg/ml 20°C Med eller uten lys
112 Dag
2659
Bevisgrad A

Ikke angitt Natriumklorid 0,9 % 0,2 mg/ml 35°C Beskyttes mot lys
112 Dag
2659
Bevisgrad A

Ikke angitt Natriumklorid 0,9 % 0,2 mg/ml 5°C Beskyttes mot lys
112 Dag
2659
Bevisgrad A

Ikke angitt Ingen 10 mg/ml 37°C Beskyttes mot lys
120 Dag
1867
Bevisgrad D


  Mentions Légales