آخر تحديث :
27/01/2026
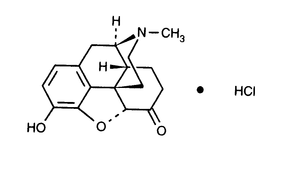
مسكن   Hydromorphone hydrochloride  
حقن
الاستقرار في حلول استقرار مخاليط العوامل التي تؤثر على الاستقرار التوافق طريقة التعاطي مراجع pdf
   التركيب الكيميائي  

حجز الاسم التجاري   حجز الاسم التجاري     

تحذير الأسماء التجاريه المختلفه قد تحتوي علي محتوي إضافات مختلفة حسب الدوله و المعمل

Dilaudid الولايات المتحدة, كندا
Hydal النمسا
Palladon الدنمارك, سويسرا
Palladone بريطانيا العظمي
الاستقرار في حلول   حقن   الاستقرار في حلول : Hydromorphone hydrochloride     
حاوية مذيب تركيز درجة الحرارة تخزين مدة الاستقرار مراجع
زجاج لم يتم تحديد 50 mg/ml 37°C بعيدا عن الضوء
90 يوم
2305

البولي فينيل كلوريد كلوريد الصوديوم 0.9% ? mg/ml 25°C لم يتم تحديد
7 يوم
5073
بيانات الشركة المصنعة \\ \'ق الاستقرار

البولي فينيل كلوريد كلوريد الصوديوم 0.9% ? mg/ml 37°C لم يتم تحديد
7 يوم
5073
بيانات الشركة المصنعة \\ \'ق الاستقرار

البولي فينيل كلوريد كلوريد الصوديوم 0.9% ? mg/ml 4°C لم يتم تحديد
7 يوم
5073
بيانات الشركة المصنعة \\ \'ق الاستقرار

البولي فينيل كلوريد كلوريد الصوديوم 0.9% 0,2 & 10 mg/ml 23°C لم يتم تحديد
90 يوم
4230
A مستوى الأدلة

البولي فينيل كلوريد كلوريد الصوديوم 0.9% 1 & 5 mg/ml 23°C لم يتم تحديد
42 يوم
120
C مستوى الأدلة

البولي فينيل كلوريد كلوريد الصوديوم 0.9% 1 & 5 mg/ml 4°C بعيدا عن الضوء
42 يوم
120
C مستوى الأدلة

البولي فينيل كلوريد كلوريد الصوديوم 0.9% 20 mg/ml 22°C لم يتم تحديد
7 يوم
4664
D مستوى الأدلة

البولي فينيل كلوريد كلوريد الصوديوم 0.9% 20 mg/ml 37°C لم يتم تحديد
7 يوم
4664
D مستوى الأدلة

البولي فينيل كلوريد الجلوكوز %5 ? mg/ml 25°C لم يتم تحديد
7 يوم
5073
بيانات الشركة المصنعة \\ \'ق الاستقرار

البولي فينيل كلوريد الجلوكوز %5 ? mg/ml 37°C لم يتم تحديد
7 يوم
5073
بيانات الشركة المصنعة \\ \'ق الاستقرار

البولي فينيل كلوريد الجلوكوز %5 ? mg/ml 4°C لم يتم تحديد
7 يوم
5073
بيانات الشركة المصنعة \\ \'ق الاستقرار

البولي فينيل كلوريد الجلوكوز %5 1 & 5 mg/ml 23°C لم يتم تحديد
42 يوم
120
C مستوى الأدلة

البولي فينيل كلوريد الجلوكوز %5 1 & 5 mg/ml 4°C بعيدا عن الضوء
42 يوم
120
C مستوى الأدلة

البولي ايثيلين كلوريد الصوديوم 0.9% ? mg/ml 25°C لم يتم تحديد
7 يوم
5073
بيانات الشركة المصنعة \\ \'ق الاستقرار

البولي ايثيلين كلوريد الصوديوم 0.9% ? mg/ml 37°C لم يتم تحديد
7 يوم
5073
بيانات الشركة المصنعة \\ \'ق الاستقرار

البولي ايثيلين كلوريد الصوديوم 0.9% ? mg/ml 4°C لم يتم تحديد
7 يوم
5073
بيانات الشركة المصنعة \\ \'ق الاستقرار

البولي ايثيلين الجلوكوز %5 ? mg/ml 25°C لم يتم تحديد
7 يوم
5073
بيانات الشركة المصنعة \\ \'ق الاستقرار

البولي ايثيلين الجلوكوز %5 ? mg/ml 37°C لم يتم تحديد
7 يوم
5073
بيانات الشركة المصنعة \\ \'ق الاستقرار

البولي ايثيلين الجلوكوز %5 ? mg/ml 4°C لم يتم تحديد
7 يوم
5073
بيانات الشركة المصنعة \\ \'ق الاستقرار

البولي فين كلوريد الصوديوم 0.9% 0,2 & 10 mg/ml 23°C لم يتم تحديد
90 يوم
4230
A مستوى الأدلة

الإثيلين خلات الفينيل كلوريد الصوديوم 0.9% ? mg/ml 25°C لم يتم تحديد
7 يوم
5073
بيانات الشركة المصنعة \\ \'ق الاستقرار

الإثيلين خلات الفينيل كلوريد الصوديوم 0.9% ? mg/ml 37°C لم يتم تحديد
7 يوم
5073
بيانات الشركة المصنعة \\ \'ق الاستقرار

الإثيلين خلات الفينيل كلوريد الصوديوم 0.9% ? mg/ml 4°C لم يتم تحديد
7 يوم
5073
بيانات الشركة المصنعة \\ \'ق الاستقرار

الإثيلين خلات الفينيل الجلوكوز %5 ? mg/ml 25°C لم يتم تحديد
7 يوم
5073
بيانات الشركة المصنعة \\ \'ق الاستقرار

الإثيلين خلات الفينيل الجلوكوز %5 ? mg/ml 37°C لم يتم تحديد
7 يوم
5073
بيانات الشركة المصنعة \\ \'ق الاستقرار

الإثيلين خلات الفينيل الجلوكوز %5 ? mg/ml 4°C لم يتم تحديد
7 يوم
5073
بيانات الشركة المصنعة \\ \'ق الاستقرار

محقنة البولي بروبلين كلوريد الصوديوم 0.9% ? mg/ml 25°C لم يتم تحديد
7 يوم
5073
بيانات الشركة المصنعة \\ \'ق الاستقرار

محقنة البولي بروبلين كلوريد الصوديوم 0.9% ? mg/ml 37°C لم يتم تحديد
7 يوم
5073
بيانات الشركة المصنعة \\ \'ق الاستقرار

محقنة البولي بروبلين كلوريد الصوديوم 0.9% ? mg/ml 4°C لم يتم تحديد
7 يوم
5073
بيانات الشركة المصنعة \\ \'ق الاستقرار

محقنة البولي بروبلين كلوريد الصوديوم 0.9% 0,1 mg/ml 25°C لم يتم تحديد
100 يوم
4303
A مستوى الأدلة

محقنة البولي بروبلين كلوريد الصوديوم 0.9% 0,1 mg/ml 30°C لم يتم تحديد
30 يوم
5
B مستوى الأدلة

محقنة البولي بروبلين كلوريد الصوديوم 0.9% 1,5 & 80 mg/ml 23°C ضوء
60 يوم
1706
 A+ مستوى الأدلة

محقنة البولي بروبلين كلوريد الصوديوم 0.9% 1,5 & 80 mg/ml 37°C بعيدا عن الضوء
48 ساعة
1706
 A+ مستوى الأدلة

محقنة البولي بروبلين كلوريد الصوديوم 0.9% 1,5 & 80 mg/ml 4°C بعيدا عن الضوء
60 يوم
1706
 A+ مستوى الأدلة

محقنة البولي بروبلين الجلوكوز %5 ? mg/ml 25°C لم يتم تحديد
7 يوم
5073
بيانات الشركة المصنعة \\ \'ق الاستقرار

محقنة البولي بروبلين الجلوكوز %5 ? mg/ml 37°C لم يتم تحديد
7 يوم
5073
بيانات الشركة المصنعة \\ \'ق الاستقرار

محقنة البولي بروبلين الجلوكوز %5 ? mg/ml 4°C لم يتم تحديد
7 يوم
5073
بيانات الشركة المصنعة \\ \'ق الاستقرار

محقنة البولي بروبلين لا شيء 10 mg/ml 30°C لم يتم تحديد
30 يوم
5
B مستوى الأدلة

لم يتم تحديد كلوريد الصوديوم 0.9% 0,2 mg/ml 20°C مع أو بدون ضوء
112 يوم
2659
A مستوى الأدلة

لم يتم تحديد كلوريد الصوديوم 0.9% 0,2 mg/ml 35°C بعيدا عن الضوء
112 يوم
2659
A مستوى الأدلة

لم يتم تحديد كلوريد الصوديوم 0.9% 0,2 mg/ml 5°C بعيدا عن الضوء
112 يوم
2659
A مستوى الأدلة

لم يتم تحديد لا شيء 10 mg/ml 37°C بعيدا عن الضوء
120 يوم
1867
D مستوى الأدلة


  Mentions Légales