Τελευταία ενημέρωση :
27/01/2026
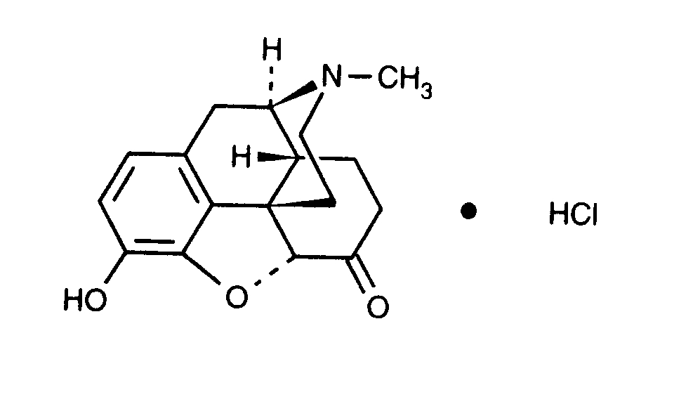
Αναλγητικό   Hydromorphone hydrochloride  
Ενέσιμο
Σταθερότητα διαλυμάτων Σταθερότητα σε μίγματα Παράγοντας που επηρεάζει τη σταθερότητα Συμβατότητες Τρόπος χορήγησης Βιβλιογραφία pdf
   χημική δομή  

Εμπορική ονομασία   Εμπορική ονομασία     

Οι εμπορικές ονομασίες είναι ενδεικτικές και η σύνθεση των εκδόχων μπορεί να διαφέρει ανάλογα με τη χώρα και τα εργαστήρια

Dilaudid Η.Π.Α., Καναδάς
Hydal Αυστρία
Palladon Δανία, Ελβετία
Palladone Μεγάλη Βρετανία
Σταθερότητα διαλυμάτων   Ενέσιμο   Σταθερότητα διαλυμάτων : Hydromorphone hydrochloride     
Υποδοχέας Διαλυτικό Συγκέντρωση Θερμοκρασία Αποθήκευση Διάρκεια σταθερότητας Βιβλιογραφία
Ύαλος Απροσδιόριστο 50 mg/ml 37°C Προστατεύετε από το φως
90 Ημέρα
2305

Πολυβινυλοχλωρίδιο Χλωριούχο νάτριο 0,9% ? mg/ml 25°C Απροσδιόριστο
7 Ημέρα
5073
Δεδομένα σταθερότητας του κατασκευαστή/ών

Πολυβινυλοχλωρίδιο Χλωριούχο νάτριο 0,9% ? mg/ml 37°C Απροσδιόριστο
7 Ημέρα
5073
Δεδομένα σταθερότητας του κατασκευαστή/ών

Πολυβινυλοχλωρίδιο Χλωριούχο νάτριο 0,9% ? mg/ml 4°C Απροσδιόριστο
7 Ημέρα
5073
Δεδομένα σταθερότητας του κατασκευαστή/ών

Πολυβινυλοχλωρίδιο Χλωριούχο νάτριο 0,9% 0,2 & 10 mg/ml 23°C Απροσδιόριστο
90 Ημέρα
4230
Επίπεδο των αποδεικτικών στοιχείων A

Πολυβινυλοχλωρίδιο Χλωριούχο νάτριο 0,9% 1 & 5 mg/ml 23°C Απροσδιόριστο
42 Ημέρα
120
Επίπεδο των αποδεικτικών στοιχείων C

Πολυβινυλοχλωρίδιο Χλωριούχο νάτριο 0,9% 1 & 5 mg/ml 4°C Προστατεύετε από το φως
42 Ημέρα
120
Επίπεδο των αποδεικτικών στοιχείων C

Πολυβινυλοχλωρίδιο Χλωριούχο νάτριο 0,9% 20 mg/ml 22°C Απροσδιόριστο
7 Ημέρα
4664
Επίπεδο των αποδεικτικών στοιχείων D

Πολυβινυλοχλωρίδιο Χλωριούχο νάτριο 0,9% 20 mg/ml 37°C Απροσδιόριστο
7 Ημέρα
4664
Επίπεδο των αποδεικτικών στοιχείων D

Πολυβινυλοχλωρίδιο Γλυκόζη 5% ? mg/ml 25°C Απροσδιόριστο
7 Ημέρα
5073
Δεδομένα σταθερότητας του κατασκευαστή/ών

Πολυβινυλοχλωρίδιο Γλυκόζη 5% ? mg/ml 37°C Απροσδιόριστο
7 Ημέρα
5073
Δεδομένα σταθερότητας του κατασκευαστή/ών

Πολυβινυλοχλωρίδιο Γλυκόζη 5% ? mg/ml 4°C Απροσδιόριστο
7 Ημέρα
5073
Δεδομένα σταθερότητας του κατασκευαστή/ών

Πολυβινυλοχλωρίδιο Γλυκόζη 5% 1 & 5 mg/ml 23°C Απροσδιόριστο
42 Ημέρα
120
Επίπεδο των αποδεικτικών στοιχείων C

Πολυβινυλοχλωρίδιο Γλυκόζη 5% 1 & 5 mg/ml 4°C Προστατεύετε από το φως
42 Ημέρα
120
Επίπεδο των αποδεικτικών στοιχείων C

Πολυαιθυλένιο Χλωριούχο νάτριο 0,9% ? mg/ml 25°C Απροσδιόριστο
7 Ημέρα
5073
Δεδομένα σταθερότητας του κατασκευαστή/ών

Πολυαιθυλένιο Χλωριούχο νάτριο 0,9% ? mg/ml 37°C Απροσδιόριστο
7 Ημέρα
5073
Δεδομένα σταθερότητας του κατασκευαστή/ών

Πολυαιθυλένιο Χλωριούχο νάτριο 0,9% ? mg/ml 4°C Απροσδιόριστο
7 Ημέρα
5073
Δεδομένα σταθερότητας του κατασκευαστή/ών

Πολυαιθυλένιο Γλυκόζη 5% ? mg/ml 25°C Απροσδιόριστο
7 Ημέρα
5073
Δεδομένα σταθερότητας του κατασκευαστή/ών

Πολυαιθυλένιο Γλυκόζη 5% ? mg/ml 37°C Απροσδιόριστο
7 Ημέρα
5073
Δεδομένα σταθερότητας του κατασκευαστή/ών

Πολυαιθυλένιο Γλυκόζη 5% ? mg/ml 4°C Απροσδιόριστο
7 Ημέρα
5073
Δεδομένα σταθερότητας του κατασκευαστή/ών

Πολυολεφίνη Χλωριούχο νάτριο 0,9% 0,2 & 10 mg/ml 23°C Απροσδιόριστο
90 Ημέρα
4230
Επίπεδο των αποδεικτικών στοιχείων A

Συμπολυμερές του αιθυλενίου και του οξικ Χλωριούχο νάτριο 0,9% ? mg/ml 25°C Απροσδιόριστο
7 Ημέρα
5073
Δεδομένα σταθερότητας του κατασκευαστή/ών

Συμπολυμερές του αιθυλενίου και του οξικ Χλωριούχο νάτριο 0,9% ? mg/ml 37°C Απροσδιόριστο
7 Ημέρα
5073
Δεδομένα σταθερότητας του κατασκευαστή/ών

Συμπολυμερές του αιθυλενίου και του οξικ Χλωριούχο νάτριο 0,9% ? mg/ml 4°C Απροσδιόριστο
7 Ημέρα
5073
Δεδομένα σταθερότητας του κατασκευαστή/ών

Συμπολυμερές του αιθυλενίου και του οξικ Γλυκόζη 5% ? mg/ml 25°C Απροσδιόριστο
7 Ημέρα
5073
Δεδομένα σταθερότητας του κατασκευαστή/ών

Συμπολυμερές του αιθυλενίου και του οξικ Γλυκόζη 5% ? mg/ml 37°C Απροσδιόριστο
7 Ημέρα
5073
Δεδομένα σταθερότητας του κατασκευαστή/ών

Συμπολυμερές του αιθυλενίου και του οξικ Γλυκόζη 5% ? mg/ml 4°C Απροσδιόριστο
7 Ημέρα
5073
Δεδομένα σταθερότητας του κατασκευαστή/ών

σύριγγα πολυπροπυλένιο Χλωριούχο νάτριο 0,9% ? mg/ml 25°C Απροσδιόριστο
7 Ημέρα
5073
Δεδομένα σταθερότητας του κατασκευαστή/ών

σύριγγα πολυπροπυλένιο Χλωριούχο νάτριο 0,9% ? mg/ml 37°C Απροσδιόριστο
7 Ημέρα
5073
Δεδομένα σταθερότητας του κατασκευαστή/ών

σύριγγα πολυπροπυλένιο Χλωριούχο νάτριο 0,9% ? mg/ml 4°C Απροσδιόριστο
7 Ημέρα
5073
Δεδομένα σταθερότητας του κατασκευαστή/ών

σύριγγα πολυπροπυλένιο Χλωριούχο νάτριο 0,9% 0,1 mg/ml 25°C Απροσδιόριστο
100 Ημέρα
4303
Επίπεδο των αποδεικτικών στοιχείων A

σύριγγα πολυπροπυλένιο Χλωριούχο νάτριο 0,9% 0,1 mg/ml 30°C Απροσδιόριστο
30 Ημέρα
5
Επίπεδο των αποδεικτικών στοιχείων B

σύριγγα πολυπροπυλένιο Χλωριούχο νάτριο 0,9% 1,5 & 80 mg/ml 23°C Φως
60 Ημέρα
1706
Επίπεδο των αποδεικτικών στοιχείων A+

σύριγγα πολυπροπυλένιο Χλωριούχο νάτριο 0,9% 1,5 & 80 mg/ml 37°C Προστατεύετε από το φως
48 Ώρα
1706
Επίπεδο των αποδεικτικών στοιχείων A+

σύριγγα πολυπροπυλένιο Χλωριούχο νάτριο 0,9% 1,5 & 80 mg/ml 4°C Προστατεύετε από το φως
60 Ημέρα
1706
Επίπεδο των αποδεικτικών στοιχείων A+

σύριγγα πολυπροπυλένιο Γλυκόζη 5% ? mg/ml 25°C Απροσδιόριστο
7 Ημέρα
5073
Δεδομένα σταθερότητας του κατασκευαστή/ών

σύριγγα πολυπροπυλένιο Γλυκόζη 5% ? mg/ml 37°C Απροσδιόριστο
7 Ημέρα
5073
Δεδομένα σταθερότητας του κατασκευαστή/ών

σύριγγα πολυπροπυλένιο Γλυκόζη 5% ? mg/ml 4°C Απροσδιόριστο
7 Ημέρα
5073
Δεδομένα σταθερότητας του κατασκευαστή/ών

σύριγγα πολυπροπυλένιο Ουδέν 10 mg/ml 30°C Απροσδιόριστο
30 Ημέρα
5
Επίπεδο των αποδεικτικών στοιχείων B

Απροσδιόριστο Χλωριούχο νάτριο 0,9% 0,2 mg/ml 20°C Με ή χωρίς φως
112 Ημέρα
2659
Επίπεδο των αποδεικτικών στοιχείων A

Απροσδιόριστο Χλωριούχο νάτριο 0,9% 0,2 mg/ml 35°C Προστατεύετε από το φως
112 Ημέρα
2659
Επίπεδο των αποδεικτικών στοιχείων A

Απροσδιόριστο Χλωριούχο νάτριο 0,9% 0,2 mg/ml 5°C Προστατεύετε από το φως
112 Ημέρα
2659
Επίπεδο των αποδεικτικών στοιχείων A

Απροσδιόριστο Ουδέν 10 mg/ml 37°C Προστατεύετε από το φως
120 Ημέρα
1867
Επίπεδο των αποδεικτικών στοιχείων D


  Mentions Légales