Letztes “update” :
18/03/2026
Antikoagulans   Bivalirudin  
Injektion
Stabilität der Lösung Gemengestabilität Stabilitätbeeinflussende Faktoren Kompatibilitäten Applikationsart Literaturverzeichnis pdf
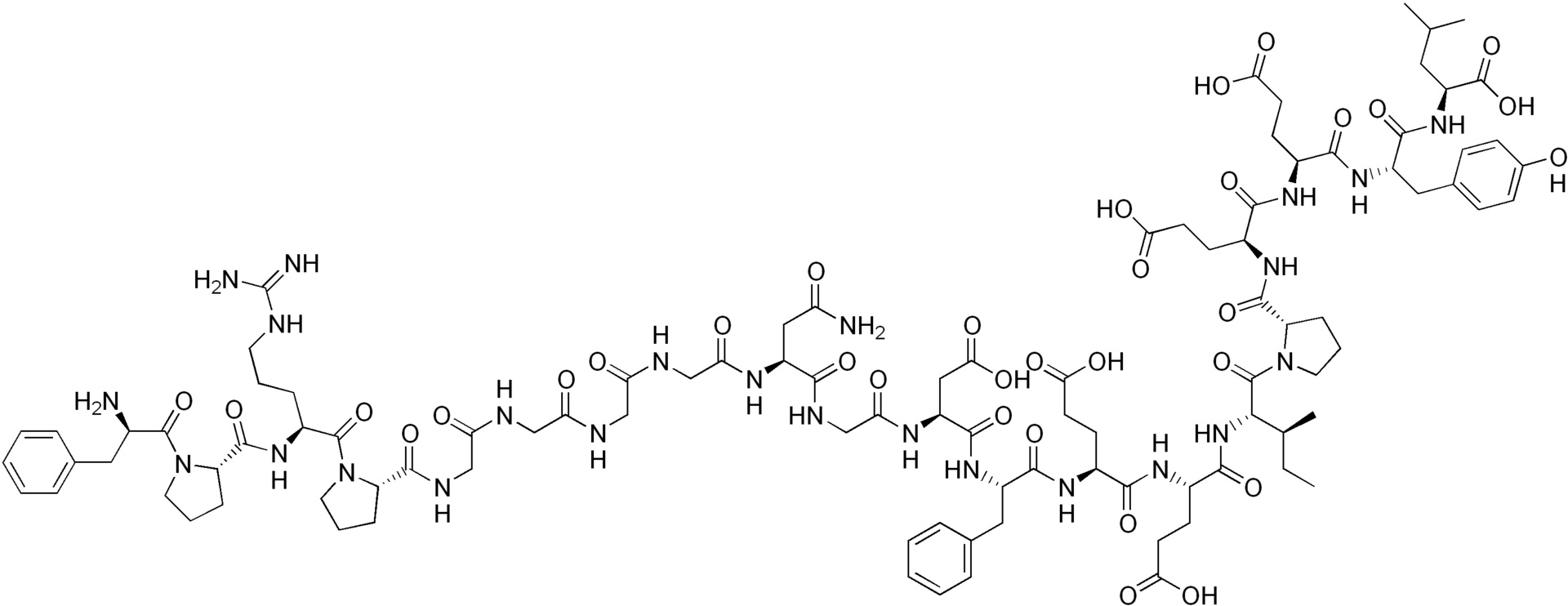
   Chemische Struktur  

Handelsmarke   Handelsmarke     

Handelsnamen sind als beispielhaft anzusehen. Sonstige Bestandteile können je nach Hersteller oder Land verschieden sein

Amuprux Argentinien
Angiomax Australien, Chile, Kanada, Neuseeland, Peru, Venezuela, Vereinigte Staaten von Amerika
Angiox Dänemark, Finnland, Griechenland, Großbritannien, Island, Italien, Niederlande, Norwegen, Österreich, Polen, Rumänien, Slowenien, Spanien, Ungarn, Vereinigte Staaten von Amerika
Bivalirudin Belgien, Dänemark, Deutschland, Finnland, Großbritannien, Schweden, Slowenien
Bivalirudina Italien, Spanien
Applikationsart   Applikationsart :Bivalirudin     
Verabreichung
Intravenös

  Mentions Légales