Viimeisin päivitys :
18/03/2026
Antikoagulantit   Bivalirudin  
Injektioneste
Stabilius liuoksessa Stabilius seoksissa Tekijät, jotka vaikuttavat stabiliuteen Yhteensopivuus Antotapa Viitteet pdf
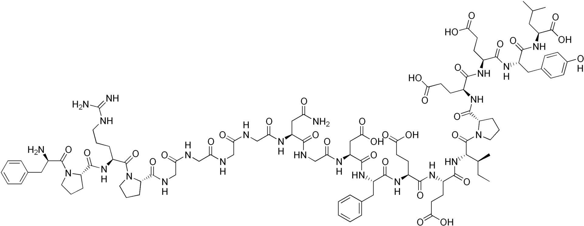
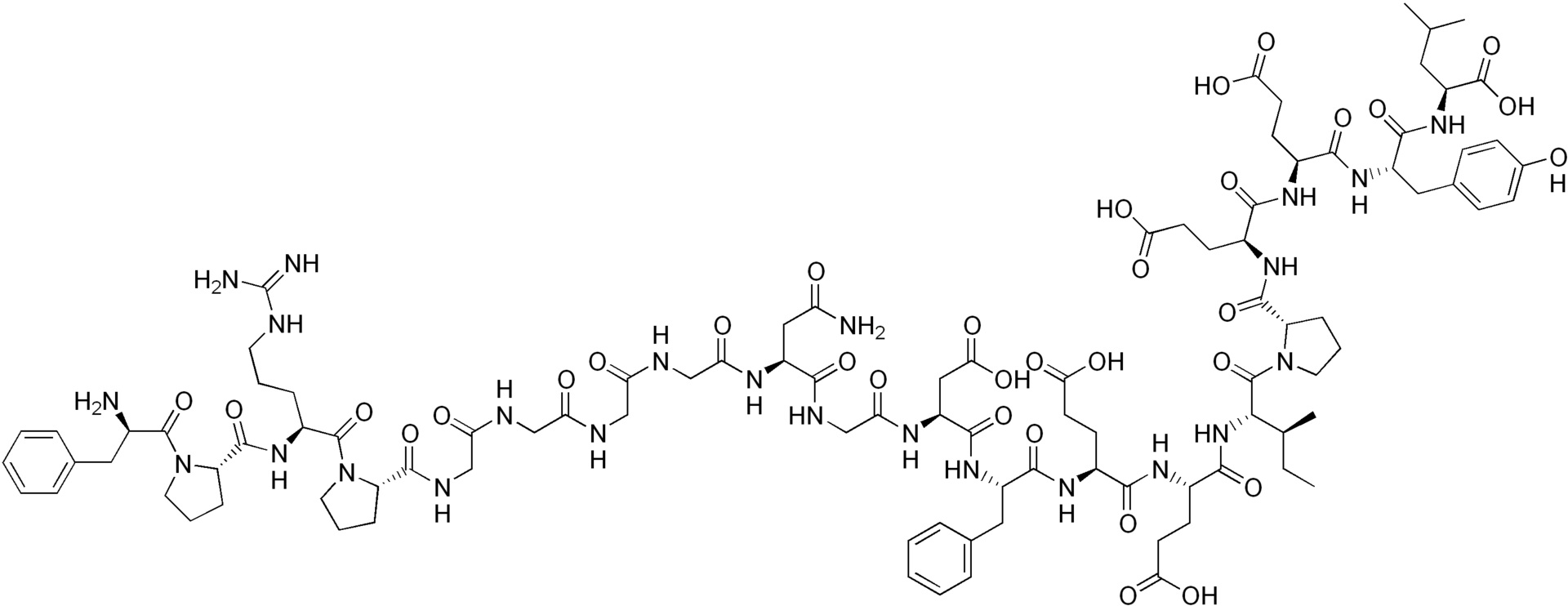
   Kemiallinen rakenne  

Kauppanimi   Kauppanimi     

Trade names are indicative and excipients composition can be different depending on the country and manufacturers

Amuprux Argentiina
Angiomax Australia, Chile, Kanada, Marokko, New Zealand, Venezuela, Yhdysvallat
Angiox Espanja, Hollanti, Islanti, Iso-Britannia, Italia, Itävalta, Kreikka, Norja, Puola, Romania, Slovenia, Suomi, Tanska, Unkari, Yhdysvallat
Bivalirudin Belgia, Iso-Britannia, Ruotsi, Saksa, Slovenia, Suomi, Tanska
Bivalirudina Espanja, Italia
Antotapa   Antotapa :Bivalirudin     
Voie
Intravenoosi

  Mentions Légales