Cập nhật lần cuối :
18/03/2026
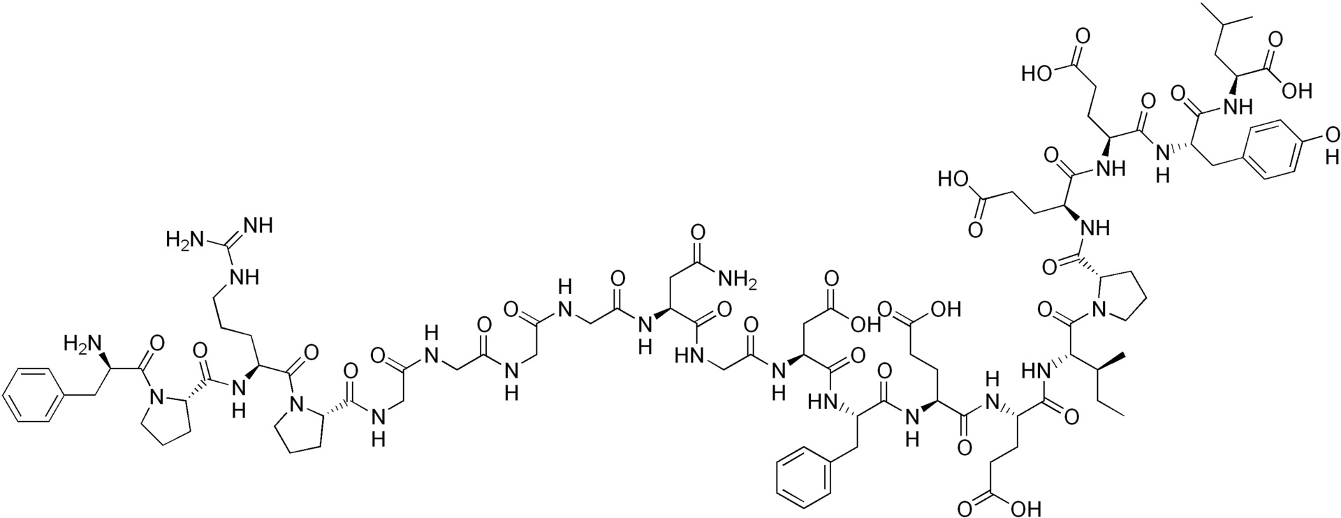
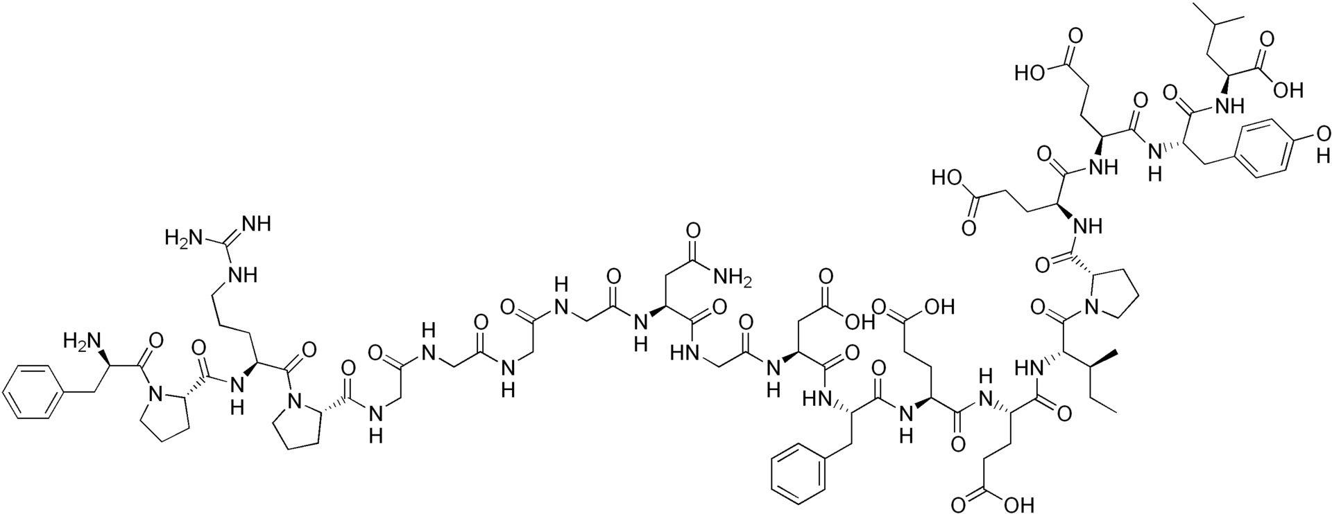
Thuốc chống đông   Bivalirudin  
Dạng tiêm
Tính ổn định của các dung dịch Độ ổn định khi trộn lẫn Những yếu tố ảnh hưởng đến độ ổn định Khả năng tương thích Đường dùng Tài liệu tham khảo Pdf
   Cấu trúc hóa học  

Tên thương mại   Tên thương mại     

Các tên thương mại được cung cấp và thành phần tá dược có thể khác nhau giữa các quốc gia và các hãng dược

Amuprux Argentina
Angiomax Canada, Chile, Hoa Kỳ, new zealand, Peru, Úc, Venezuela
Angiox Anh, Áo, Ba Lan, Hà Lan, Hoa Kỳ, Hungary, Hy Lạp, Iceland, Na Uy, Phần Lan, Romania, Slovenia, Tây Ban Nha, Ý, Đan Mạch
Bivalirudin Anh, Bỉ, Phần Lan, Slovenia, Thụy Điển, Đan Mạch, Đức
Bivalirudina Tây Ban Nha, Ý
Đường dùng   Đường dùng :Bivalirudin     
Đường dùng
Tiêm tĩnh mạch

  Mentions Légales