Son güncelleme :
17/12/2025
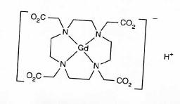
kontrast madde   Gadoterate meglumine  
Enjeksiyon
Çözeltilerin stabilitesi Karışımlardaki stabilitesi Stabiliteyi etkileyen faktörler Uyumluluk Uygulama yöntemi Kaynaklar pdf
   Kimyasal yapı   

Ticari isim   Ticari isim     

Trade names are indicative and excipients composition can be different depending on the country and manufacturers

Artirem Almanya, Hollanda
Ciclolux Almanya, İspanya
Clariscan Almanya, Avusturya, Belçika, Finlandiya, İrlanda, İspanya, İsveç, İsviçre, Lüksemburg, Macaristan, Norveç, Peru, Şili
Cyclolux Almanya, İspanya, Macaristan
Dotagita Almanya, Romanya
Dotagraf Almanya, İrlanda, İspanya, İsviçre
Dotarem Almanya, Arjantin, Avustralya, Avusturya, Belçika, Danimarka, Finlandiya, Fransa, İran, İrlanda, İspanya, İsveç, İsviçre, İtalya, Kolombiya, Lüksemburg, Macaristan, Malezya, Mısır, Norveç, Peru, Portekiz, Romanya, Şili, Suudi Arabistan, Tunus, Türkiye, Venezuela, Yunanistan
Kaynaklar   Enjeksiyon    Kaynaklar : Gadoterate meglumine  
tip yayın
1679 Dergi Micard S, Rieutord A, Prognon P, Hassan M, Brion F.
Stability and sterility of meglumine gadoterate injection repackaged in plastic syringes.
Int J Pharm 2001 ; 212: 93-99.

  Mentions Légales