Last update :
17/12/2025
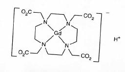
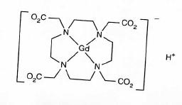
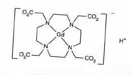
Radiocontrast agent   Gadoterate meglumine  
injection
Stability in solutions Stability of mixtures Factors which affect stability Compatibility Route of administration References pdf
   Chemical structure  

Tradename   Tradename     

Trade names are indicative and excipients composition can be different depending on the country and manufacturers

Artirem Germany, Netherlands
Ciclolux Germany, Spain
Clariscan Austria, Belgium, Chile, Finland, Germany, Hungary, Ireland, Luxembourg, Norway, Peru, Spain, Sweden, Switzerland
Cyclolux Germany, Hungary, Spain
Dotagita Germany, Romania
Dotagraf Germany, Ireland, Spain, Switzerland
Dotarem Argentina, Australia, Austria, Belgium, Chile, Colombia, Denmark, Egypt, Finland, France, Germany, Greece, Hungary, Iran, Ireland, Italy, Luxembourg, Malaysia, Norway, Peru, Portugal, Romania, Saudi Arabia, Spain, Sweden, Switzerland, Tunisia, Turkey, Venezuela
References   injection   References : Gadoterate meglumine  
Type Publication
1679 Journal Micard S, Rieutord A, Prognon P, Hassan M, Brion F.
Stability and sterility of meglumine gadoterate injection repackaged in plastic syringes.
Int J Pharm 2001 ; 212: 93-99.

  Mentions Légales