Seneste opdatering :
17/12/2025
radiocontrast agent   Gadoterate meglumine  
Injektion
Stabilitet i (vandige) opløsninger Stabilitet i blandinger Faktorer der påvirker stabiliteten Kompatibilitet Administrationsvej Bibliografi pdf
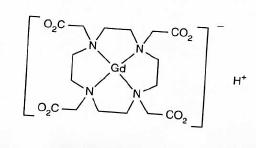
   Kemisk struktur  

Handelsnavn   Handelsnavn     

Handel navne er vejledende og hjælpestoffer sammensætning kan være forskellig afhængigt af landet og laboratorier

Artirem Holland, Tyskland
Ciclolux Spanien, Tyskland
Clariscan Belgien, Chile, Finland, Irland, Luxemborg, Marokko, Norge, Schweiz, Spanien, Sverige, Tyskland, Ungarn, Østrig
Cyclolux Spanien, Tyskland, Ungarn
Dotagita Rumænien, Tyskland
Dotagraf Irland, Schweiz, Spanien, Tyskland
Dotarem Argentina, Australien, Belgien, Chile, Colombia, Danmark, Finland, Frankrig, Grækenland, Iran, Irland, Italien, Luxemborg, Malaysia, Marokko, Norge, Portugal, Rumænien, Saudi-Arabien, Schweiz, Spanien, Sverige, Tunesien, Tyrkiet, Tyskland, Ungarn, Venezuela, Ægypten, Østrig
Bibliografi   Injektion   Bibliografi : Gadoterate meglumine  
Type offentliggørelse
1679 Journal Micard S, Rieutord A, Prognon P, Hassan M, Brion F.
Stability and sterility of meglumine gadoterate injection repackaged in plastic syringes.
Int J Pharm 2001 ; 212: 93-99.

  Mentions Légales