Siste oppdatering :
17/12/2025
kontrastmiddel   Gadoterate meglumine  
Injeksjon
Oppløsningsstabilitet Stabilitet i blandinger Faktorer som påvirker stabiliteten Kompatibilitet Administrasjonsmåte Referanser pdf
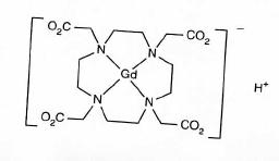
   Kjemisk struktur  

Handelsnavn   Handelsnavn     

Handelsnavn er veiledende og sammensetning av hjelpestoffer kan være forskjellig avhengig av land og produsent

Artirem Nederland, Tyskland
Ciclolux Spania, Tyskland
Clariscan Belgia, Chile, Finland, Irland, Luxembourg, Norge, Peru, Spania, Sveits, Sverige, Tyskland, Ungarn, Østerrike
Cyclolux Spania, Tyskland, Ungarn
Dotagita Romania, Tyskland
Dotagraf Irland, Spania, Sveits, Tyskland
Dotarem Argentina, Australia, Belgia, Chile, Colombia, Danmark, Egypt, Finland, Frankrike, Hellas, Iran, Irland, Italia, Luxembourg, Malaysia, Norge, Peru, Portugal, Romania, Saudi-Arabia, Spania, Sveits, Sverige, Tunisia, Tyrkia, Tyskland, Ungarn, Venezuela, Østerrike
Referanser   Injeksjon   Referanser : Gadoterate meglumine  
Type publikasjon
1679 Journal Micard S, Rieutord A, Prognon P, Hassan M, Brion F.
Stability and sterility of meglumine gadoterate injection repackaged in plastic syringes.
Int J Pharm 2001 ; 212: 93-99.

  Mentions Légales