Ostatnia aktualizacja :
17/12/2025
kontrastem   Gadoterate meglumine  
Injekcje
Trwałość roztworów Trwałość w mieszaninie Czynnik wpływający na trwałość Zgodność Sposób podania Bibliografia pdf
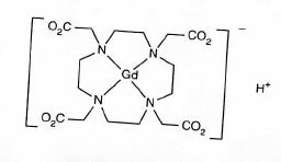
   Struktura chemiczna  

Nazwa handlowa   Nazwa handlowa     

Trade names are indicative and excipients composition can be different depending on the country and manufacturers

Artirem Holandia, Niemcy
Ciclolux Hiszpania, Niemcy
Clariscan Austria, Belgia, Chile, Finlandia, Hiszpania, Irlandia, Luksemburg, Niemcy, Norwegia, Peru, Szwajcaria, Szwecja, Węgry
Cyclolux Hiszpania, Niemcy, Węgry
Dotagita Niemcy, Rumunia
Dotagraf Hiszpania, Irlandia, Niemcy, Szwajcaria
Dotarem Arabia Saudyjska, Argentyna, Australia, Austria, Belgia, Chile, Dania, Egipt, Finlandia, Francja , Grecja, Hiszpania, Iran, Irlandia, KolumbiaKolumbia, Luksemburg, Malezja, Niemcy, Norwegia, Peru, Portugalia, Rumunia, Szwajcaria, Szwecja, Tunisie, Turcja, Węgry, Wenezuela, Włochy
Bibliografia   Injekcje   Bibliografia : Gadoterate meglumine  
typ publikacja
1679 Czasopismo Micard S, Rieutord A, Prognon P, Hassan M, Brion F.
Stability and sterility of meglumine gadoterate injection repackaged in plastic syringes.
Int J Pharm 2001 ; 212: 93-99.

  Mentions Légales