Senaste uppdateringen :
18/03/2026
Antibiotikum   Penicillin G sodium  
injektion
Lösningars stabilitet Stabilitet i blandningar Faktorer som påverkar stabiliteten Kompatibilitet Administreringssätt Hänvisningar pdf
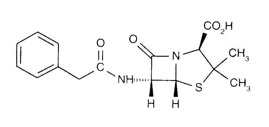
   Molekylstruktur  

Varunamn   Varunamn     

Angivna handelsnamn på läkemedel är enbart vägledande då formulering inklusive hjälpämnen kan variera mellan länder och tillverkare

Benapen Brasilien
Bencilpenicilina Chile, Ecuador, Peru
Benpen Australien, nya Zeeland
Bensylpenicillin Sverige
Benzapen Iran
Benzatec Sydafrikanska republiken
Benzatron Brasilien
Benzylpenicillin Danmark, Egypten, Finland, Norge, Sverige
Benzylpenicilline Tunisien
Biconcillina Ecuador
Crystapen Irland, Kanada, Storbritannien
Declin Mexiko
Fortepen Saudi-Arabien
Geepenil Finland
Natrium penicillin G Nederländerna
Novopen Sydafrikanska republiken
Pebencil Venezuela
Penbendox Mexiko
Penibiot Spanien
Penicillin Norge
Penicillina G sodica Argentina, Chile, Colombia, Ecuador, Portugal
Penilevel Spanien
Sodiopen Spanien
Unicillina Spanien
Lösningars stabilitet   injektion   Lösningars stabilitet : Penicillin G sodium     
Behållare Lösningsmedel Koncentration Temperatur Förvaring Stabilitets varaktighet Hänvisningar
Glas Vatten för injektion 0.01 MUI/ml 2-8°C Skyddas från ljus
7 Dag
4922
Evidensnivå D

Glas NaCl 0.9% + fenol 0.4% 0.01 MUI/ml 2-8°C Skyddas från ljus
2 Dag
4922
Evidensnivå D

Polyvinylklorid Vatten för injektion 0,1 & 0,2 MUI/ml 25°C Ej angiven
3 Dag
13
Evidensnivå B

Polyvinylklorid Vatten för injektion 0,18 MUI/ml -20°C Skyddas från ljus
30 Dag
440
Evidensnivå D

Polyvinylklorid Natriumklorid 0,9 % ?? MUI/ml 5°C Skyddas från ljus
2 Dag
1263
Evidensnivå B

Polyvinylklorid Natriumklorid 0,9 % 0.0025 MUI/ml 5°C Ej angiven
21 Dag
3648
Evidensnivå B+

Polyvinylklorid Natriumklorid 0,9 % 0.05 MUI/ml 5°C Ej angiven
21 Dag
3648
Evidensnivå B+

Polyvinylklorid Glukos 5 % 0,04 MUI/ml -20°C Skyddas från ljus
39 Dag
1241
Evidensnivå B

Polyvinylklorid Glukos 5 % 0.0025 MUI/ml 5°C Ej angiven
21 Dag
3648
Evidensnivå B+

Polyvinylklorid Glukos 5 % 0.05 MUI/ml 5°C Ej angiven
21 Dag
3648
Evidensnivå B+

Spruta polypropen Vatten för injektion 0.01 MUI/ml 2-8°C Skyddas från ljus
7 Dag
4922
Evidensnivå D

Spruta polypropen NaCl 0.9% + fenol 0.4% 0.01 MUI/ml 2-8°C Skyddas från ljus
2 Dag
4922
Evidensnivå D

Polyisopren elastomer Natriumklorid 0,9 % 0.0025 MUI/ml 5°C Ej angiven
21 Dag
3648
Evidensnivå B+

Polyisopren elastomer Natriumklorid 0,9 % 0.05 MUI/ml 5°C Ej angiven
21 Dag
3648
Evidensnivå B+

Polyisopren elastomer Glukos 5 % 0.0025 MUI/ml 5°C Ej angiven
21 Dag
3648
Evidensnivå B+

Polyisopren elastomer Glukos 5 % 0.05 MUI/ml 5°C Ej angiven
21 Dag
3648
Evidensnivå B+

Polyisopren elastomer NaCl 0,9% tamponsitrat 0,3% pH 7 0.025 & 0.1 MUI/ml 2-8°C Skyddas från ljus
6 Dag
4590
Evidensnivå A

Polyisopren elastomer NaCl 0,9% tamponsitrat 0,3% pH 7 0.025 & 0.1 MUI/ml 37°C Skyddas från ljus
24 Timma
4590
Evidensnivå A

Silikonelastomer NaCl 0,9% tamponsitrat 0,3% pH 7 10 MUI/ml 2-8°C Ej angiven
7 Dag
4874
Evidensnivå D

Silikonelastomer NaCl 0,9% tamponsitrat 0,3% pH 7 20 MUI/ml 2-8°C Ej angiven
7 Dag
4874
Evidensnivå D

Silikonelastomer NaCl 0,9% tamponsitrat 0,3% pH 7 40 MUI/ml 2-8°C Ej angiven
7 Dag
4874
Evidensnivå D

Ej angiven Natriumklorid 0,9 % 0,13 MUI/ml 21°C-22°C Ej angiven
13 Timma
2056
Evidensnivå D

Ej angiven Natriumklorid 0,9 % 0,13 MUI/ml 26°C Ej angiven
12 Timma
2056
Evidensnivå D

Ej angiven Natriumklorid 0,9 % 0,13 MUI/ml 3-5°C Ej angiven
6 Dag
2056
Evidensnivå D

Ej angiven Natriumklorid 0,9 % 0,13 MUI/ml 36°C Ej angiven
5 Timma
2056
Evidensnivå D


  Mentions Légales