Ostatnia aktualizacja :
18/03/2026
Antybiotyk   Penicillin G sodium  
Injekcje
Trwałość roztworów Trwałość w mieszaninie Czynnik wpływający na trwałość Zgodność Sposób podania Bibliografia pdf
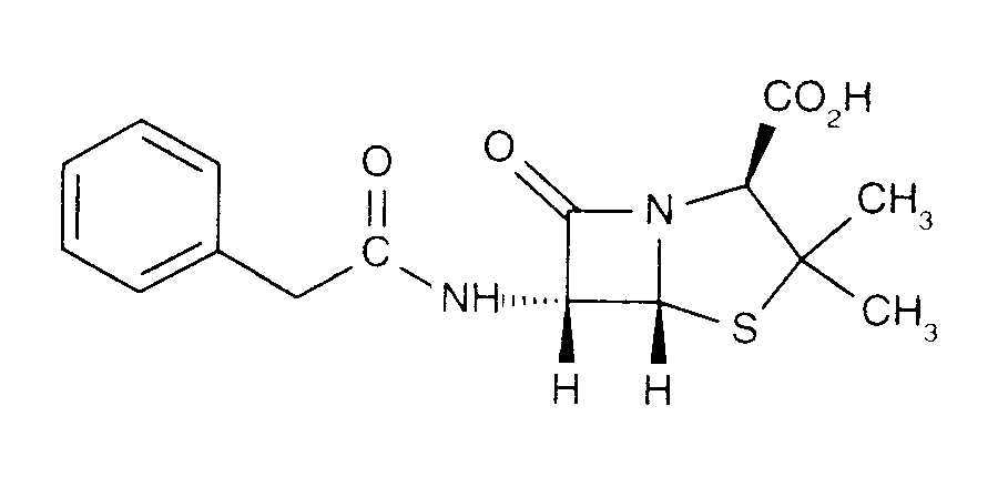
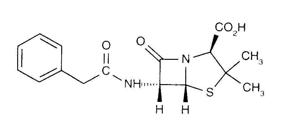
   Struktura chemiczna  

Nazwa handlowa   Nazwa handlowa     

Trade names are indicative and excipients composition can be different depending on the country and manufacturers

Benapen Brazylia
Bencilpenicilina Chile, Ekwador, Peru
Benpen Australia, nowa Zelandia
Bensylpenicillin Szwecja
Benzapen Iran
Benzatec Afryka Południowa
Benzatron Brazylia
Benzylpenicillin Dania, Egipt, Finlandia, Norwegia, Szwecja
Benzylpenicilline Tunisie
Biconcillina Ekwador
Crystapen Irlandia, Kanada, Wielka Brytania
Declin Meksyk
Fortepen Arabia Saudyjska
Geepenil Finlandia
Natrium penicillin G Holandia
Novopen Afryka Południowa
Pebencil Wenezuela
Penbendox Meksyk
Penibiot Hiszpania
Penicillin Norwegia
Penicillina G sodica Argentyna, Chile, Ekwador, KolumbiaKolumbia, Portugalia
Penilevel Hiszpania
Sodiopen Hiszpania
Unicillina Hiszpania
Trwałość roztworów   Injekcje   Trwałość roztworów : Penicillin G sodium     
Pojemnik Rozpuszczalnik Stężenie Temperatura Przechowywanie Czas trwania stabilności Bibliografia
Szkło Woda do wstrzyknięć 0.01 MUI/ml 2-8°C Chronić od światła
7 Dzień
4922
Poziom wiarygodności D

Szkło NaCl 0.9% + fenol 0.4% 0.01 MUI/ml 2-8°C Chronić od światła
2 Dzień
4922
Poziom wiarygodności D

Polichlorek winylu Woda do wstrzyknięć 0,1 & 0,2 MUI/ml 25°C Nie wyszczególniony
3 Dzień
13
Poziom wiarygodności B

Polichlorek winylu Woda do wstrzyknięć 0,18 MUI/ml -20°C Chronić od światła
30 Dzień
440
Poziom wiarygodności D

Polichlorek winylu Chlorek sodu 0,9% ?? MUI/ml 5°C Chronić od światła
2 Dzień
1263
Poziom wiarygodności B

Polichlorek winylu Chlorek sodu 0,9% 0.0025 MUI/ml 5°C Nie wyszczególniony
21 Dzień
3648
Poziom wiarygodności B+

Polichlorek winylu Chlorek sodu 0,9% 0.05 MUI/ml 5°C Nie wyszczególniony
21 Dzień
3648
Poziom wiarygodności B+

Polichlorek winylu Glukoza 5% 0,04 MUI/ml -20°C Chronić od światła
39 Dzień
1241
Poziom wiarygodności B

Polichlorek winylu Glukoza 5% 0.0025 MUI/ml 5°C Nie wyszczególniony
21 Dzień
3648
Poziom wiarygodności B+

Polichlorek winylu Glukoza 5% 0.05 MUI/ml 5°C Nie wyszczególniony
21 Dzień
3648
Poziom wiarygodności B+

Strzykawka Woda do wstrzyknięć 0.01 MUI/ml 2-8°C Chronić od światła
7 Dzień
4922
Poziom wiarygodności D

Strzykawka NaCl 0.9% + fenol 0.4% 0.01 MUI/ml 2-8°C Chronić od światła
2 Dzień
4922
Poziom wiarygodności D

Elastomer poliizoprenowy Chlorek sodu 0,9% 0.0025 MUI/ml 5°C Nie wyszczególniony
21 Dzień
3648
Poziom wiarygodności B+

Elastomer poliizoprenowy Chlorek sodu 0,9% 0.05 MUI/ml 5°C Nie wyszczególniony
21 Dzień
3648
Poziom wiarygodności B+

Elastomer poliizoprenowy Glukoza 5% 0.0025 MUI/ml 5°C Nie wyszczególniony
21 Dzień
3648
Poziom wiarygodności B+

Elastomer poliizoprenowy Glukoza 5% 0.05 MUI/ml 5°C Nie wyszczególniony
21 Dzień
3648
Poziom wiarygodności B+

Elastomer poliizoprenowy NaCl 0,9% cytrynian tamponu 0,3% pH 7 0.025 & 0.1 MUI/ml 2-8°C Chronić od światła
6 Dzień
4590
Poziom wiarygodności A

Elastomer poliizoprenowy NaCl 0,9% cytrynian tamponu 0,3% pH 7 0.025 & 0.1 MUI/ml 37°C Chronić od światła
24 Godzina
4590
Poziom wiarygodności A

Elastomer silikonowy NaCl 0,9% cytrynian tamponu 0,3% pH 7 10 MUI/ml 2-8°C Nie wyszczególniony
7 Dzień
4874
Poziom wiarygodności D

Elastomer silikonowy NaCl 0,9% cytrynian tamponu 0,3% pH 7 20 MUI/ml 2-8°C Nie wyszczególniony
7 Dzień
4874
Poziom wiarygodności D

Elastomer silikonowy NaCl 0,9% cytrynian tamponu 0,3% pH 7 40 MUI/ml 2-8°C Nie wyszczególniony
7 Dzień
4874
Poziom wiarygodności D

Brak informacji Chlorek sodu 0,9% 0,13 MUI/ml 21°C-22°C Nie wyszczególniony
13 Godzina
2056
Poziom wiarygodności D

Brak informacji Chlorek sodu 0,9% 0,13 MUI/ml 26°C Nie wyszczególniony
12 Godzina
2056
Poziom wiarygodności D

Brak informacji Chlorek sodu 0,9% 0,13 MUI/ml 3-5°C Nie wyszczególniony
6 Dzień
2056
Poziom wiarygodności D

Brak informacji Chlorek sodu 0,9% 0,13 MUI/ml 36°C Nie wyszczególniony
5 Godzina
2056
Poziom wiarygodności D


  Mentions Légales