Poslední aktualizace :
18/03/2026
Antibiotikas   Penicillin G sodium  
Įpurškimas
Tirpalų stabilumas Mišinių stabilumas Stabilumą lemiantys veiksniai Suderinamumas Leidimo būdai Bibliografija pdf
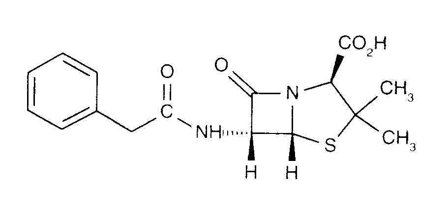
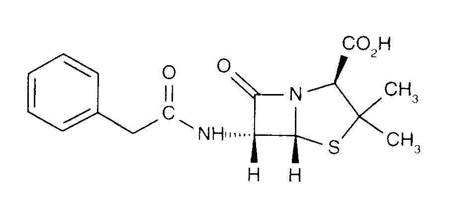
   Cheminė sandara  

Prekinis pavadinimas   Prekinis pavadinimas     

Trade names are indicative and excipients composition can be different depending on the country and manufacturers

Benapen Brazilija
Bencilpenicilina Čilė, Ekvadoras, Peru
Benpen Australija, Naujojoje Zelandijoje
Bensylpenicillin Švedija
Benzapen Iranas
Benzatec Pietų Afrikos Respublika
Benzatron Brazilija
Benzylpenicillin Danija, Egiptas, Norvegija, Suomija, Švedija
Benzylpenicilline Tunisas
Biconcillina Ekvadoras
Crystapen Airija, Didžioji Britanija, Kanada
Declin Meksikas
Fortepen Saudo Arabija
Geepenil Suomija
Natrium penicillin G Olandija
Novopen Pietų Afrikos Respublika
Pebencil Venesuela
Penbendox Meksikas
Penibiot Ispanija
Penicillin Norvegija
Penicillina G sodica Argentina, Čilė, Ekvadoras, Kolumbija, Portugalija
Penilevel Ispanija
Sodiopen Ispanija
Unicillina Ispanija
Tirpalų stabilumas   Įpurškimas   Tirpalų stabilumas : Penicillin G sodium     
Pakuotė Tirpiklis Koncentracija Temperatūra Laikymas Stabilumo trukmė Nuorodos
Stiklas Vanduo injekcijoms 0.01 MUI/ml 2-8°C Apsaugotas nuo šviesos
7 Diena
4922
Bandymo lygis D

Stiklas NaCl 0.9% + fenolis 0.4% 0.01 MUI/ml 2-8°C Apsaugotas nuo šviesos
2 Diena
4922
Bandymo lygis D

Polivinilchloridas Vanduo injekcijoms 0,1 & 0,2 MUI/ml 25°C Nenurodyta
3 Diena
13
Bandymo lygis B

Polivinilchloridas Vanduo injekcijoms 0,18 MUI/ml -20°C Apsaugotas nuo šviesos
30 Diena
440
Bandymo lygis D

Polivinilchloridas Natrio chloridas 0,9% ?? MUI/ml 5°C Apsaugotas nuo šviesos
2 Diena
1263
Bandymo lygis B

Polivinilchloridas Natrio chloridas 0,9% 0.0025 MUI/ml 5°C Nenurodyta
21 Diena
3648
Bandymo lygis B+

Polivinilchloridas Natrio chloridas 0,9% 0.05 MUI/ml 5°C Nenurodyta
21 Diena
3648
Bandymo lygis B+

Polivinilchloridas Gliukozė 5% 0,04 MUI/ml -20°C Apsaugotas nuo šviesos
39 Diena
1241
Bandymo lygis B

Polivinilchloridas Gliukozė 5% 0.0025 MUI/ml 5°C Nenurodyta
21 Diena
3648
Bandymo lygis B+

Polivinilchloridas Gliukozė 5% 0.05 MUI/ml 5°C Nenurodyta
21 Diena
3648
Bandymo lygis B+

Švirkštas polipropileno Vanduo injekcijoms 0.01 MUI/ml 2-8°C Apsaugotas nuo šviesos
7 Diena
4922
Bandymo lygis D

Švirkštas polipropileno NaCl 0.9% + fenolis 0.4% 0.01 MUI/ml 2-8°C Apsaugotas nuo šviesos
2 Diena
4922
Bandymo lygis D

Poliizopreno elastomeras Natrio chloridas 0,9% 0.0025 MUI/ml 5°C Nenurodyta
21 Diena
3648
Bandymo lygis B+

Poliizopreno elastomeras Natrio chloridas 0,9% 0.05 MUI/ml 5°C Nenurodyta
21 Diena
3648
Bandymo lygis B+

Poliizopreno elastomeras Gliukozė 5% 0.0025 MUI/ml 5°C Nenurodyta
21 Diena
3648
Bandymo lygis B+

Poliizopreno elastomeras Gliukozė 5% 0.05 MUI/ml 5°C Nenurodyta
21 Diena
3648
Bandymo lygis B+

Poliizopreno elastomeras NaCl 0,9% tampono citrato 0,3% pH7 0.025 & 0.1 MUI/ml 2-8°C Apsaugotas nuo šviesos
6 Diena
4590
Bandymo lygis A

Poliizopreno elastomeras NaCl 0,9% tampono citrato 0,3% pH7 0.025 & 0.1 MUI/ml 37°C Apsaugotas nuo šviesos
24 Valanda
4590
Bandymo lygis A

Silikono elastomeras NaCl 0,9% tampono citrato 0,3% pH7 10 MUI/ml 2-8°C Nenurodyta
7 Diena
4874
Bandymo lygis D

Silikono elastomeras NaCl 0,9% tampono citrato 0,3% pH7 20 MUI/ml 2-8°C Nenurodyta
7 Diena
4874
Bandymo lygis D

Silikono elastomeras NaCl 0,9% tampono citrato 0,3% pH7 40 MUI/ml 2-8°C Nenurodyta
7 Diena
4874
Bandymo lygis D

Nenurodyta Natrio chloridas 0,9% 0,13 MUI/ml 21°C-22°C Nenurodyta
13 Valanda
2056
Bandymo lygis D

Nenurodyta Natrio chloridas 0,9% 0,13 MUI/ml 26°C Nenurodyta
12 Valanda
2056
Bandymo lygis D

Nenurodyta Natrio chloridas 0,9% 0,13 MUI/ml 3-5°C Nenurodyta
6 Diena
2056
Bandymo lygis D

Nenurodyta Natrio chloridas 0,9% 0,13 MUI/ml 36°C Nenurodyta
5 Valanda
2056
Bandymo lygis D


  Mentions Légales