Dernière mise à jour :
06/02/2026
Antibiotique   Penicillin G sodium  
injectable
Stabilité des solutions Stabilité en mélange Facteur influençant la stabilité Compatibilités Voie d’administration Bibliographie pdf
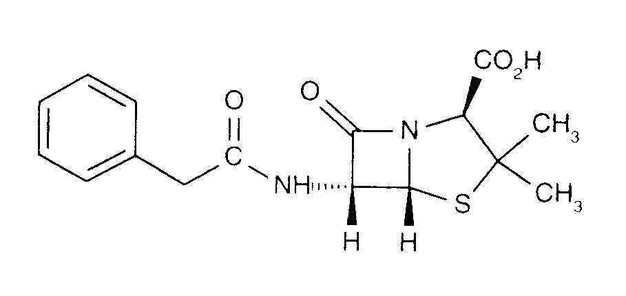
   Structure chimique  

Noms commerciaux   Noms commerciaux     

Les noms commerciaux sont donnés à titre indicatif et la composition en excipients peut être différente selon les pays et selon les laboratoires

Benapen Brésil
Bencilpenicilina Chili, Equateur, Pérou
Benpen Australie, Nouvelle Zélande
Bensylpenicillin Suède
Benzapen Iran
Benzatec Afrique du sud
Benzatron Brésil
Benzylpenicillin Danemark, Egypte, Finlande, Norvège, Suède
Benzylpenicilline Tunisie
Biconcillina Equateur
Crystapen Canada, Grande Bretagne, Irlande
Declin Mexique
Fortepen Arabie Saoudite
Geepenil Finlande
Natrium penicillin G Pays bas
Novopen Afrique du sud
Pebencil Vénézuela
Penbendox Mexique
Penibiot Espagne
Penicillin Norvège
Penicillina G sodica Argentine, Chili, Colombie, Equateur, Portugal
Penilevel Espagne
Sodiopen Espagne
Unicillina Espagne
Stabilité des solutions   injectable   Stabilité des solutions : Penicillin G sodium     
Contenant Solvant Concentration Température Conservation Durée de stabilité Bibliographie
Verre Eau pour préparation injectable 0.01 MUI/ml 2-8°C A l’abri de la lumière
7 Jour
4922
Niveau de preuve D

Verre NaCl 0.9% + phénol 0.4% 0.01 MUI/ml 2-8°C A l’abri de la lumière
2 Jour
4922
Niveau de preuve D

Polyvinyl chlorure Eau pour préparation injectable 0,1 & 0,2 MUI/ml 25°C Non précisée
3 Jour
13
Niveau de preuve B

Polyvinyl chlorure Eau pour préparation injectable 0,18 MUI/ml -20°C A l’abri de la lumière
30 Jour
440
Niveau de preuve D

Polyvinyl chlorure Chlorure de sodium 0,9% ?? MUI/ml 5°C A l’abri de la lumière
2 Jour
1263
Niveau de preuve B

Polyvinyl chlorure Chlorure de sodium 0,9% 0.0025 MUI/ml 5°C Non précisée
21 Jour
3648
Niveau de preuve B +

Polyvinyl chlorure Chlorure de sodium 0,9% 0.05 MUI/ml 5°C Non précisée
21 Jour
3648
Niveau de preuve B +

Polyvinyl chlorure Glucose 5% 0,04 MUI/ml -20°C A l’abri de la lumière
39 Jour
1241
Niveau de preuve B

Polyvinyl chlorure Glucose 5% 0.0025 MUI/ml 5°C Non précisée
21 Jour
3648
Niveau de preuve B +

Polyvinyl chlorure Glucose 5% 0.05 MUI/ml 5°C Non précisée
21 Jour
3648
Niveau de preuve B +

Seringue polypropylène Eau pour préparation injectable 0.01 MUI/ml 2-8°C A l’abri de la lumière
7 Jour
4922
Niveau de preuve D

Seringue polypropylène NaCl 0.9% + phénol 0.4% 0.01 MUI/ml 2-8°C A l’abri de la lumière
2 Jour
4922
Niveau de preuve D

Elastomère en polyisoprène Chlorure de sodium 0,9% 0.0025 MUI/ml 5°C Non précisée
21 Jour
3648
Niveau de preuve B +

Elastomère en polyisoprène Chlorure de sodium 0,9% 0.05 MUI/ml 5°C Non précisée
21 Jour
3648
Niveau de preuve B +

Elastomère en polyisoprène Glucose 5% 0.0025 MUI/ml 5°C Non précisée
21 Jour
3648
Niveau de preuve B +

Elastomère en polyisoprène Glucose 5% 0.05 MUI/ml 5°C Non précisée
21 Jour
3648
Niveau de preuve B +

Elastomère en polyisoprène NaCl 0.9% tampon citrate 0.3% pH7 0.025 & 0.1 MUI/ml 2-8°C A l’abri de la lumière
6 Jour
4590
Niveau de preuve A

Elastomère en polyisoprène NaCl 0.9% tampon citrate 0.3% pH7 0.025 & 0.1 MUI/ml 37°C A l’abri de la lumière
24 Heure
4590
Niveau de preuve A

Elastomère en silicone NaCl 0.9% tampon citrate 0.3% pH7 10 MUI/ml 2-8°C Non précisée
7 Jour
4874
Niveau de preuve D

Elastomère en silicone NaCl 0.9% tampon citrate 0.3% pH7 20 MUI/ml 2-8°C Non précisée
7 Jour
4874
Niveau de preuve D

Elastomère en silicone NaCl 0.9% tampon citrate 0.3% pH7 40 MUI/ml 2-8°C Non précisée
7 Jour
4874
Niveau de preuve D

Non précisé Chlorure de sodium 0,9% 0,13 MUI/ml 21°C-22°C Non précisée
13 Heure
2056
Niveau de preuve D

Non précisé Chlorure de sodium 0,9% 0,13 MUI/ml 26°C Non précisée
12 Heure
2056
Niveau de preuve D

Non précisé Chlorure de sodium 0,9% 0,13 MUI/ml 3-5°C Non précisée
6 Jour
2056
Niveau de preuve D

Non précisé Chlorure de sodium 0,9% 0,13 MUI/ml 36°C Non précisée
5 Heure
2056
Niveau de preuve D


  Mentions Légales