Laatste update :
19/04/2026
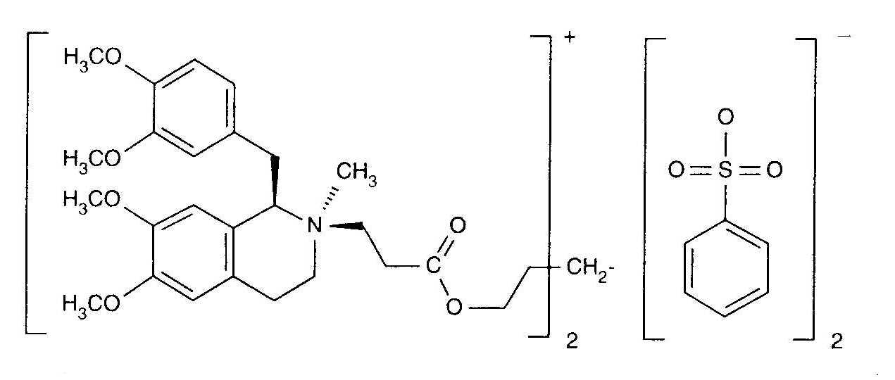
Curarimimeticum   Cisatracurium besylate  
injecteerbaar geneesmiddel
Stabiliteit in oplossing Stabiliteit in mengsels Factoren die de stabiliteit beïnvloeden Verenigbaarheden Toedieningswijze Literatuur pdf
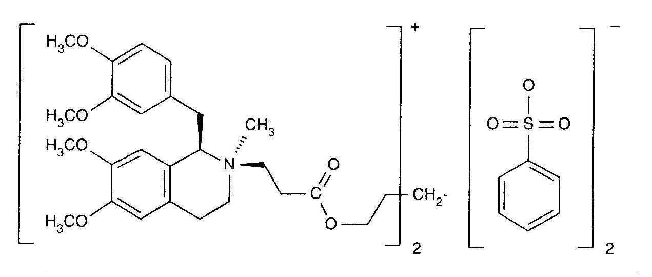
   Molecuulstructuur  

Merknamen in verschillende landen   Merknamen in verschillende landen     

Handelsnamen zijn slechts een indicatie; de samenstelling van hulpstoffen kan per land variëren afhankelijk van de fabrikant

Bensitrak Mexico
Besilato de cisatracurio
Cicuryl Mexico
Cirium Colombia
Cis Atracure
Cisatracurio Brazilië, Chili, Colombia, Ecuador, Italië, Peru, Spanje
Cisatracurium België, Canada, Duitsland, Finland, Frankrijk, Groot Britannië, Hongarije, Ierland, Tunisie
Nimbex België, Canada, Chili, Denemarken, Duitsland, Ecuador, Egypte, Finland, Frankrijk, Griekenland, Groot Britannië, Hongarije, Ierland, Iran, Italië, Luxemburg, Maleisië, Mexico, Nederland, Noorwegen, Oostenrijk, Peru, Polen, Portugal, Saudi-Arabië, Slovenië, Spanje, Tunisie, Turkije, USA, Venezuela, Verenigde Arabische Emiraten, Zweden
Nimbium Brazilië, Colombia
Literatuur   injecteerbaar geneesmiddel   Literatuur : Cisatracurium besylate  
type publicatie
59 Artikel Trissel LA, Gilbert DL, Martinez JF, Kim MC.
Compatibility of remifentanil hydrochloride with selected drugs during simulated Y-site administration.
Am J Health-Syst Pharm 1997 ; 54: 2192-2196.
299 Artikel Trissel LA, Martinez JF, Gilbert DL.
Compatibility of cisatracurium besylate with selected drugs during simulated Y-site administration.
Am J Health-Syst Pharm 1997 ; 54: 1735-1741.
533 Artikel Xu QA, Zhang YP, Trissel LA, Gilbert DL, Martinez JF, Fox JL.
Stability of cisatracurium besylate in vials, syringes and infusion admixtures.
Am J Health-Syst Pharm 1998 ; 55: 1037-1041.
921 Artikel Trissel LA, Gilbert DL, Martinez JF.
Incompatibility and compatibility of amphotericin B cholesteryl sulfate complex with selected other drugs during simulated Y-site administration.
Hosp Pharm 1998 ; 33: 284-292.
1712 Artikel Trissel LA, Saenz CA.
Compatibility screening of Precedex during simulated Y-site administration with other drugs.
Int J Pharm Compound 2002 ; 6: 230-233.
1721 Artikel Trissel LA, Williams KY, Baker MB.
Compatibility screening of Hextend during simulated Y-site administration with other drugs.
Int J Pharm Compound 2001 ; 5: 69-72.
1803 Artikel Trissel, LA, Saenz CA, Ogundele OB, Ingram D, Baker MB.
Compatibility of fenoldopam mesylate with other drugs during simulated Y-site administration.
Am J Health-Syst Pharm 2003 ; 60: 80-85.
1925 Artikel Trissel LA , Williams KY, Gilbert DL.
Compatibility screening of linezolid injection during simulated Y-site administration with other drugs and infusion solutions.
J Am Pharm Assoc 2000 ; 40: 515-519.
2108 Artikel Trusley C, Kupiec TC, Trissel LA.
Compatibility of micafungin injection with other drugs during simulated Y-site co-administration.
Int J Pharm Compound 2006 ; 10: 230-232.
2227 Artikel Trusley C, Ben M, Kupiec TC, Trissel LA.
Compatibility and stability of palonosetron hydrochloride with four neuromuscular blocking agents during simulated Y-site administration.
Int J Pharm Compound 2008 ; 12, 2: 156-160.
2269 Artikel Chan P, Bishop A, Kupiec TC, Trissel LA, Gole D, Jimidar IM, Vermeersch H.
Compatibility of ceftobiprole medocaril with selected drugs during simulated Y-site administration.
Am J Health-Syst Pharm 2008 ; 65, 16: 1545-1551.
3134 Artikel Perez Jua En, Maqueda Palau M, Arévalo Rubert Mt, Ribas Nicolau B, Amoros Cerdà SM.
Compatibilidad visual y física de la furosemida en mezclas intravenosas para perfusión continua.
Enferm Intensiva 2010 ; 21: 96-103.
3212 Artikel Ribas Nicolau, B.; P?rez Juan, E.; Amor?s Cerd?, S.M.; Ar?valo Rubert, M.J.; Maqueda Palau, M.
Compatibilidad física del bicarbonato sódico con fármacos de uso frecuente en la unidad de cuidados intensivos.
Enferm Intensiva 2011 ;22:78-82.
3249 Artikel Singh BM, Dedhiya MG, Dinunzio J, Chan P, Kupiec TC, Trissel LA, Laudano JB.
Compatibility of ceftaroline fosamil for injection with selected drugs during simulated Y-site administration.
Am J Health-Syst Pharm 2011 ; 68: 2163-2169.
3429 Artikel Foushee J.A, Fox L.M, Gormley L.R, Lineberger M.S.
Physical compatibility of cisatracurium with selected drugs during simulated Y-site administration
Am J Health-Syst Pharm 2015 ; 72:483-486
3463 Artikel Eva Perez Juan, Maria Jos? Arévalo Rubert , Silvia Monica Amoros Cerda , Palau M.M, Nicolau B.R.
Fármacos en perfusión continua en la unidad de cuidados intensivos: estudio de compatibilidad.
Nursing 2011 ; 29 :62-6
3464 Artikel Monica Maqueda-Palau, Eva Pérez-Juan, Maria Josep Arévalo-Rubert, Sylvia Monica Amoros-Cerda, Bàrbara Ribas-Nicolau.
Compatibilidad física de la amiodarona en perfusión continua
Enferm Clin 2011 21:25-29.
3465 Artikel E. P?rez Juan, M. Maqueda Palau, M. Ar?valo Rubert, B. Ribas Nicolau, S.M. Amor?s Cerd?.
Compatibilidad visual y física de la furosemida en mezclas intravenosas para perfusión continua.
Enferm Intensiva 2010 ;21:96-103.
3466 Artikel B. Ribas Nicolau, E. P?rez Juan, S.M. Amor?s Cerd?, M.J. Ar?valo Rubert, M. Maqueda Palau.
Compatibilidad física del bicarbonato sódico con fármacos de uso frecuente en la unidad de cuidados intensivos
Enferm Intensiva 2011 ;22:78-82.
3540 fabrikant Heparin sodium - Summary of Product Characteristics.
Wockhardt 2010
3601 fabrikant Cisatracurium Actavis - Résumé des Caractéristiques du Produit
Actavis 2012
3823 Artikel Juan E.P, Palau M.M, Cerd? S.A, Rubert M.A, Nicolau B.R.
Compatibilité physique de médicaments administrés dans l’unité de soins intensifs
Pharmactuel 2015 ; 48, 3 : 146-152.
3827 Poster Ghazi I.M, Hamada Y, Nicolau D.P.
Compatibility of tedizolid phosphate with selected intravenous drugs via simulated Y-site conditions.
ASHP Midyear 2015
3828 Poster Thabit A.K, Hamada Y, Nicolau D.P.
Ceftozolane/tazobactam physical compatibility during simulated Y-site administration.
ASHP Midyear 2015
3829 Poster So W, Kim L, Thabit A.K, Nicolau D.P, Kuti J.L.
Compatibility of isavunazonium sulfate during simulated Y-site administration.
ASHP Midyear 2015
3879 Artikel Foushee Jaime A, Meredith Pmichaele, Fox Laura M, Grace Edward E.
Y-site Physical Compatibility of Beta-blocker Infusions with Intensive Care Unit Admixtures.
Int J Pharm Compound 2016 ; 20, 4 : 328-332.
4055 Artikel Monogue M, Almarzoky Abuhussain S, Kuti J, Nicolau D.
Physical compatibility of fosfomycin for injection with select i.v. drugs during simulated Y-site administration.
Am J Health-Syst Pharm 2018 , 75, 1:36-44
4145 Artikel Asempa T.E, Avery L.M, Kidd J.M, Kuti J.L, Nicolau D.P.
Physical compatibility of plazomicin with select i.v. drugs during simulated Y-site administration.
Am J Health-Syst Pharm 2018 ;75,14:1048-1056
4358 Artikel Pignard J, Bourdeaux D, Kauffmann S, Constantin J.M, Sautou V.
Stabilité physico-chimique des solutions injectables de bésilate de cisatracurium dans les conditions cliniques d'utilisation
Ann Fr Anesth Réanim 2014 ; 33, 5: 304-309.
4433 Artikel Ghazi I.M, El Nekidy W.S, Sood A, Dulku A, Patel R, Patel K.
Y-site Administration of Imipenem/Cilastatin/ Relebactam With Common Intravenous Medications
Clin Ther 2020 ; 42, 3: 475-485.
4434 Artikel Avery L.M, Chen, I.H, Reyes, S, Nicolau, D.P, Kuti J.L.
Assessment of the Physical Compatibility of Eravacycline and Common Parenteral Drugs During Simulated Y-site Administration.
Clin Ther 2019 ; 41, 10: 2162-2170.
4465 Artikel Foushee A, Meredith P, Fox Laura, Wilder A.
Y-site physical compatibility of hydrocortisone continuous infusions with admixtures used in critically ill patients.
Am J Health-Syst Pharm 2020 ;77,14:1144-1148
4491 Artikel De Basagoiti A, Katsumiti A, Abascal S, Bustinza A, López-Giménez L.R, Pilar P, De Miguel M, Campino A.
Physical compatibility of alprostadil with selected drugs commonly used in the neonatal intensive care units.
Eur J Pedia 2020
4507 Artikel Ross E, Salinas A, Petty K, Her C, Carpenter J.
Compatibility of medications with intravenous lipid emulsions: Effects of simulated Y-site mixing.
Am J Health-Syst Pharm 2020 ;77,23:1980-1985
4528 Artikel Lu J, Liu Q, Kupiec T, Vail H, Lunch L, Fam D, Vu N.
Physical Compatibility of Cefiderocol with Selected Intravenous Drugs During Simulated Y-site Administration.
Int J Pharm Compound 2021 ;25,1:52-61
4569 Artikel Lee T.M , Villareal C.L, Meyer L.M.
Y-Site Compatibility of Intravenous Levetiracetam With Commonly Used Critical Care Medications.
Hosp Pharm 2021 ; 56, 4: 282-286.
4650 fabrikant Ceftobiprole (Zevtera 500 mg powder for concentrate for solution for infusion.) Summary of Product Characteristics, Advanz Pharma updated 4 aug 2021.
Advanz Pharma 2021
4651 Artikel De Basagoiti A, Katsumiti A, Abascal S, Bustinza A, López-Giménez L.R, Pascual P, De Miguel M, Campino A.
Physical compatibility of alprostadil with selected drugs commonly used in the neonatal intensive care units.
Eur J Pedia 2021 ;180,1169–1176.
4769 Artikel Roche M, Danel C, Simon N, Kouach M, Bouchfaa M, Berneron C, Odou P, Lannoy D.
Cisatracurium Besylate 10 mg/mL Solution Compounded in a Hospital Pharmacy to Prevent Drug Shortages : A Stability Study Involving Four Degradation Products.
Pharmaceutics 2023 ;15,1404
4801 Artikel Ruiz V, Yuwei Shen Y, Abouelhassan Y, Fouad A, Nicolau D, Kuti J.
Physical compatibility of sulbactam/durlobactam with select intravenous drugs during simulated Y-site administration.
Am J Health-Syst Pharm 2024 ;51,1:

  Mentions Légales