Última actualización :
18/03/2026
Antibiótico   Netilmicin sulfate  
Inyectables
Aerosol
Estabilidad en solucion Estabilidad en mezcla Factores que influyen sobre la estabilidad Compatibilidades método de inyección Bibliografía pdf
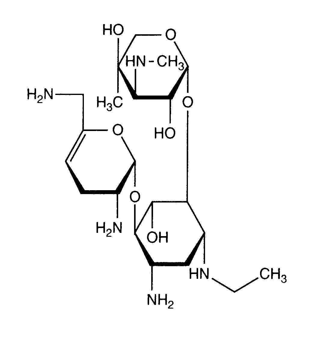
   Estructura química  

Nombre comercial   Nombre comercial     

Los nombres comerciales son orientativos y los excipientes de la formulación pueden ser distintos dependiendo del país y del laboratorio fabricante.

Bactob India
Beltob India
Bramicil Italia
Brulamycin Hungría
Eltol India
Fytobra India
Gernebcin Alemania
Komitub India
Nebcin Arabia Saudita, Australia, Egipto, Emiratos Árabes Unidos, Gran Bretaña, Grecia, Nueva Zelanda
Nebcina Dinamarca, Marruecos, Noruega, Suecia
Nebcine Marruecos
Nebicina Italia
Netilyn Finlandia, Suecia
Netromicina Portugal
Netromicine Francia
Netromycine Grecia, Polonia, ruso, Turquía
Nettacin Italia
Obracin Bélgica, Luxemburgo, Países Bajos, Suiza
Tobra Alemania
Tobra Alex Egipto
Tobra Day Nueva Zelanda
Tobra Gobens España
Tobracin Egipto
Tobradistin España
Tobramicina España, Italia, Portugal, Venezuela
Tobramina Brasil
Tobramycin Alemania, Arabia Saudita, Australia, Canadá, Estados Unidos de América, Gran Bretaña, Irlanda, Noruega
Tobramycine Francia, Irlanda, Países Bajos
Tobrasix Austria
Tobrazid Alemania
Tomycin Finlandia
Zetamicin Italia
Estabilidad en solucion   Inyectables   Estabilidad en solucion : Netilmicin sulfate     
Envase Solvente Concentración Temperatura Conservación Duración de la estabilidad Bibliografía
Vidrio Agua para preparación inyectable 3 mg/ml 25°C No precisada
7 Día
1200
análisis biológico

Vidrio Agua para preparación inyectable 3 mg/ml 4°C A cubierto de la luz
7 Día
1200
análisis biológico

Vidrio Cloruro de sodio 0,9% 3 mg/ml 24°C Luz
24 Hora
421
Joker

Vidrio Cloruro de sodio 0,9% 3 mg/ml 25°C No precisada
7 Día
1200
análisis biológico

Vidrio Cloruro de sodio 0,9% 3 mg/ml 4°C A cubierto de la luz
7 Día
1200
análisis biológico

Vidrio Glucosa 5% 3 mg/ml 24°C Luz
24 Hora
421
Joker

Vidrio Glucosa 5% 3 mg/ml 25°C No precisada
7 Día
1200
análisis biológico

Vidrio Glucosa 5% 3 mg/ml 4°C A cubierto de la luz
7 Día
1200
análisis biológico

Vidrio Ringer lactato 3 mg/ml 25°C No precisada
7 Día
1200
análisis biológico

Vidrio Ringer lactato 3 mg/ml 4°C A cubierto de la luz
7 Día
1200
análisis biológico

Vidrio Cloruro de sodio 3% 3 mg/ml 25°C No precisada
7 Día
1200
análisis biológico

Vidrio Cloruro de sodio 3% 3 mg/ml 4°C A cubierto de la luz
7 Día
1200
análisis biológico

Vidrio Glucosa 10% 3 mg/ml 25°C No precisada
7 Día
1200
análisis biológico

Vidrio Glucosa 10% 3 mg/ml 4°C A cubierto de la luz
7 Día
1200
análisis biológico

Cloruro de polivinilo Cloruro de sodio 0,9% 3 mg/ml 24°C Luz
24 Hora
421
Joker

Cloruro de polivinilo Glucosa 5% 3 mg/ml 24°C Luz
24 Hora
421
Joker

jeringa polipropileno Ninguno 10 mg/ml 25°C A cubierto de la luz
9 Día
1929
Nivel de evidencia B

jeringa polipropileno Ninguno 10 & 100 mg/ml 7°C A cubierto de la luz
90 Día
1929
Nivel de evidencia B

jeringa polipropileno Ninguno 100 mg/ml 25°C A cubierto de la luz
30 Día
1929
Nivel de evidencia B


  Mentions Légales