آخر تحديث :
18/03/2026
مضاد حيوي   Netilmicin sulfate  
حقن
الأيروصولات
الاستقرار في حلول استقرار مخاليط العوامل التي تؤثر على الاستقرار التوافق طريقة التعاطي مراجع pdf
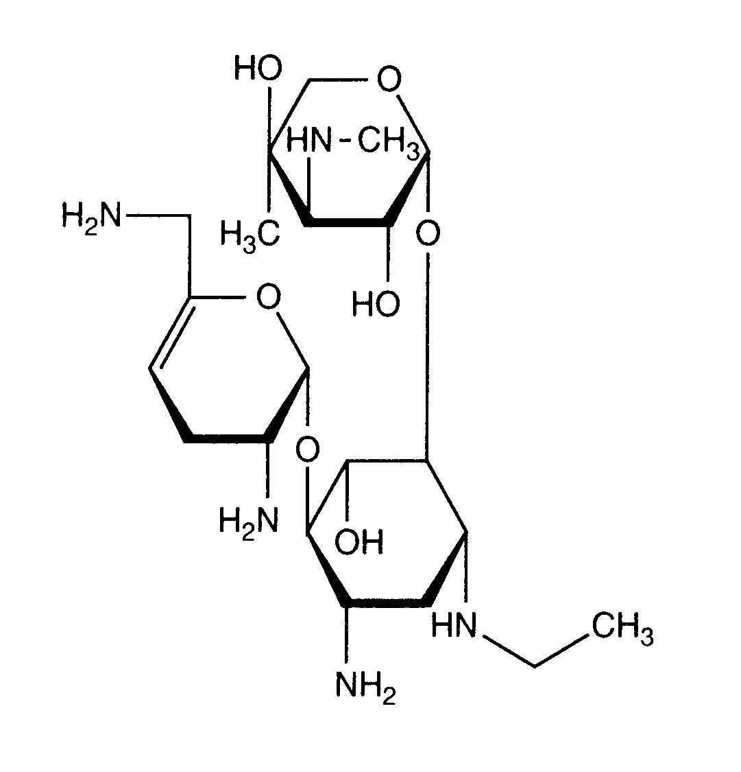
   التركيب الكيميائي  

حجز الاسم التجاري   حجز الاسم التجاري     

تحذير الأسماء التجاريه المختلفه قد تحتوي علي محتوي إضافات مختلفة حسب الدوله و المعمل

Bactob الهند
Beltob الهند
Bramicil إيطاليا
Brulamycin هنغاريا
Eltol الهند
Fytobra الهند
Gernebcin ألمانيا
Komitub الهند
Nebcin أستراليا, الإمارات العربية المتحدة, العربية السعودية, بريطانيا العظمي, زيلاندا الجديدة, مصر, يونان
Nebcina الدنمارك, السويد, المغرب, النرويج
Nebcine المغرب
Nebicina إيطاليا
Netilyn السويد, فنلندا
Netromicina البرتغال
Netromicine فرنسا
Netromycine الروسية, بولندا, تركيا, يونان
Nettacin إيطاليا
Obracin بلجيكا, سويسرا, لوكسمبورغ, هولندا
Tobra ألمانيا
Tobra Alex مصر
Tobra Day زيلاندا الجديدة
Tobra Gobens إسبانيا
Tobracin مصر
Tobradistin إسبانيا
Tobramicina إسبانيا, إيطاليا, البرتغال, فنزويلا
Tobramina البرازيل
Tobramycin أستراليا, ألمانيا, العربية السعودية, النرويج, الولايات المتحدة, ايرلندا, بريطانيا العظمي, كندا
Tobramycine ايرلندا, فرنسا, هولندا
Tobrasix النمسا
Tobrazid ألمانيا
Tomycin فنلندا
Zetamicin إيطاليا
الاستقرار في حلول   حقن   الاستقرار في حلول : Netilmicin sulfate     
حاوية مذيب تركيز درجة الحرارة تخزين مدة الاستقرار مراجع
زجاج حقن المياه لل 3 mg/ml 25°C لم يتم تحديد
7 يوم
1200
التحليل البيولوجي

زجاج حقن المياه لل 3 mg/ml 4°C بعيدا عن الضوء
7 يوم
1200
التحليل البيولوجي

زجاج كلوريد الصوديوم 0.9% 3 mg/ml 24°C ضوء
24 ساعة
421
joker

زجاج كلوريد الصوديوم 0.9% 3 mg/ml 25°C لم يتم تحديد
7 يوم
1200
التحليل البيولوجي

زجاج كلوريد الصوديوم 0.9% 3 mg/ml 4°C بعيدا عن الضوء
7 يوم
1200
التحليل البيولوجي

زجاج الجلوكوز %5 3 mg/ml 24°C ضوء
24 ساعة
421
joker

زجاج الجلوكوز %5 3 mg/ml 25°C لم يتم تحديد
7 يوم
1200
التحليل البيولوجي

زجاج الجلوكوز %5 3 mg/ml 4°C بعيدا عن الضوء
7 يوم
1200
التحليل البيولوجي

زجاج محلول رينجر  اللاكتات 3 mg/ml 25°C لم يتم تحديد
7 يوم
1200
التحليل البيولوجي

زجاج محلول رينجر  اللاكتات 3 mg/ml 4°C بعيدا عن الضوء
7 يوم
1200
التحليل البيولوجي

زجاج كلوريد الصوديوم 3% 3 mg/ml 25°C لم يتم تحديد
7 يوم
1200
التحليل البيولوجي

زجاج كلوريد الصوديوم 3% 3 mg/ml 4°C بعيدا عن الضوء
7 يوم
1200
التحليل البيولوجي

زجاج الجلوكوز %10 3 mg/ml 25°C لم يتم تحديد
7 يوم
1200
التحليل البيولوجي

زجاج الجلوكوز %10 3 mg/ml 4°C بعيدا عن الضوء
7 يوم
1200
التحليل البيولوجي

البولي فينيل كلوريد كلوريد الصوديوم 0.9% 3 mg/ml 24°C ضوء
24 ساعة
421
joker

البولي فينيل كلوريد الجلوكوز %5 3 mg/ml 24°C ضوء
24 ساعة
421
joker

محقنة البولي بروبلين لا شيء 10 mg/ml 25°C بعيدا عن الضوء
9 يوم
1929
B مستوى الأدلة

محقنة البولي بروبلين لا شيء 10 & 100 mg/ml 7°C بعيدا عن الضوء
90 يوم
1929
B مستوى الأدلة

محقنة البولي بروبلين لا شيء 100 mg/ml 25°C بعيدا عن الضوء
30 يوم
1929
B مستوى الأدلة


  Mentions Légales