Siste oppdatering :
18/03/2026
Antibiotika   Netilmicin sulfate  
Injeksjon
Aerosol
Oppløsningsstabilitet Stabilitet i blandinger Faktorer som påvirker stabiliteten Kompatibilitet Administrasjonsmåte Referanser pdf
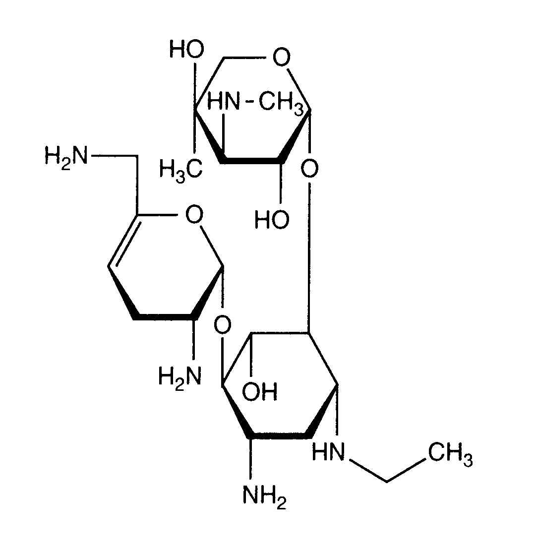
   Kjemisk struktur  

Handelsnavn   Handelsnavn     

Handelsnavn er veiledende og sammensetning av hjelpestoffer kan være forskjellig avhengig av land og produsent

Bactob India
Beltob India
Bramicil Italia
Brulamycin Ungarn
Eltol India
Fytobra India
Gernebcin Tyskland
Komitub India
Nebcin Australia, De forente arabiske emirater, Egypt, Hellas, New Zealand, Saudi-Arabia, Storbritannia
Nebcina Danmark, Marokko, Norge, Sverige
Nebcine Marokko
Nebicina Italia
Netilyn Finland, Sverige
Netromicina Portugal
Netromicine Frankrike
Netromycine Hellas, Polen, russisk, Tyrkia
Nettacin Italia
Obracin Belgia, Luxembourg, Nederland, Sveits
Tobra Tyskland
Tobra Alex Egypt
Tobra Day New Zealand
Tobra Gobens Spania
Tobracin Egypt
Tobradistin Spania
Tobramicina Italia, Portugal, Spania, Venezuela
Tobramina Brasil
Tobramycin Australia, Canada, Irland, Norge, Saudi-Arabia, Storbritannia, Tyskland, USA
Tobramycine Frankrike, Irland, Nederland
Tobrasix Østerrike
Tobrazid Tyskland
Tomycin Finland
Zetamicin Italia
Oppløsningsstabilitet   Injeksjon   Oppløsningsstabilitet : Netilmicin sulfate     
Beholder Oppløsningsmiddel Konsentrasjon Temperatur Oppbevaring Varighet av stabilitet Referanser
Glass Vann til injeksjon 3 mg/ml 25°C Ikke angitt
7 Dag
1200
Biologisk metode

Glass Vann til injeksjon 3 mg/ml 4°C Beskyttes mot lys
7 Dag
1200
Biologisk metode

Glass Natriumklorid 0,9 % 3 mg/ml 24°C Lys
24 Tid
421
Joker

Glass Natriumklorid 0,9 % 3 mg/ml 25°C Ikke angitt
7 Dag
1200
Biologisk metode

Glass Natriumklorid 0,9 % 3 mg/ml 4°C Beskyttes mot lys
7 Dag
1200
Biologisk metode

Glass Glukose 5 % 3 mg/ml 24°C Lys
24 Tid
421
Joker

Glass Glukose 5 % 3 mg/ml 25°C Ikke angitt
7 Dag
1200
Biologisk metode

Glass Glukose 5 % 3 mg/ml 4°C Beskyttes mot lys
7 Dag
1200
Biologisk metode

Glass Ringers laktatoppløsning 3 mg/ml 25°C Ikke angitt
7 Dag
1200
Biologisk metode

Glass Ringers laktatoppløsning 3 mg/ml 4°C Beskyttes mot lys
7 Dag
1200
Biologisk metode

Glass Natriumklorid 3 % 3 mg/ml 25°C Ikke angitt
7 Dag
1200
Biologisk metode

Glass Natriumklorid 3 % 3 mg/ml 4°C Beskyttes mot lys
7 Dag
1200
Biologisk metode

Glass Glukose 10 % 3 mg/ml 25°C Ikke angitt
7 Dag
1200
Biologisk metode

Glass Glukose 10 % 3 mg/ml 4°C Beskyttes mot lys
7 Dag
1200
Biologisk metode

Polyvinylklorid Natriumklorid 0,9 % 3 mg/ml 24°C Lys
24 Tid
421
Joker

Polyvinylklorid Glukose 5 % 3 mg/ml 24°C Lys
24 Tid
421
Joker

Sprøyte polypropylen Ingen 10 mg/ml 25°C Beskyttes mot lys
9 Dag
1929
Bevisgrad B

Sprøyte polypropylen Ingen 10 & 100 mg/ml 7°C Beskyttes mot lys
90 Dag
1929
Bevisgrad B

Sprøyte polypropylen Ingen 100 mg/ml 25°C Beskyttes mot lys
30 Dag
1929
Bevisgrad B


  Mentions Légales