Viimeisin päivitys :
18/03/2026
Antibiootit   Netilmicin sulfate  
Injektioneste
Aerosoli
Stabilius liuoksessa Stabilius seoksissa Tekijät, jotka vaikuttavat stabiliuteen Yhteensopivuus Antotapa Viitteet pdf
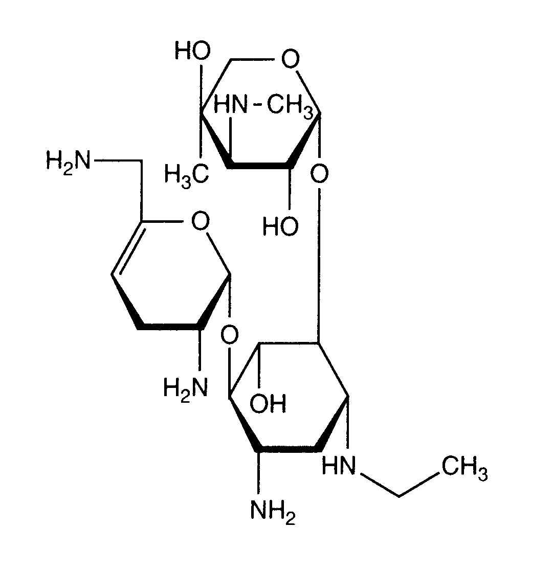
   Kemiallinen rakenne  

Kauppanimi   Kauppanimi     

Trade names are indicative and excipients composition can be different depending on the country and manufacturers

Bactob Intia
Beltob Intia
Bramicil Italia
Brulamycin Unkari
Eltol Intia
Fytobra Intia
Gernebcin Saksa
Komitub Intia
Nebcin Australia, Egypti, Iso-Britannia, Kreikka, New Zealand, Saudi-Arabia, Yhdistyneet arabiemiirikunnat
Nebcina Marokko, Norja, Ruotsi, Tanska
Nebcine Marokko
Nebicina Italia
Netilyn Ruotsi, Suomi
Netromicina Portugali
Netromicine Ranska
Netromycine Kreikka, Puola, Turkki, venäjä
Nettacin Italia
Obracin Belgia, Hollanti, Luxemburg, Sveitsi
Tobra Saksa
Tobra Alex Egypti
Tobra Day New Zealand
Tobra Gobens Espanja
Tobracin Egypti
Tobradistin Espanja
Tobramicina Espanja, Italia, Portugali, Venezuela
Tobramina Brasilia
Tobramycin Australia, Irlanti, Iso-Britannia, Kanada, Norja, Saksa, Saudi-Arabia, Yhdysvallat
Tobramycine Hollanti, Irlanti, Ranska
Tobrasix Itävalta
Tobrazid Saksa
Tomycin Suomi
Zetamicin Italia
Stabilius liuoksessa   Injektioneste   Stabilius liuoksessa : Netilmicin sulfate     
Astia Liuotin Konsentraatio Lämpötila Säilytys Vakauden kesto Viitteet
Lasi Injektionesteisiin käytettävä vesi 3 mg/ml 25°C Ei määritetty
7 Päivä
1200
Biologinen menetelmä

Lasi Injektionesteisiin käytettävä vesi 3 mg/ml 4°C Suojattava valolta
7 Päivä
1200
Biologinen menetelmä

Lasi Natriumkloridi 0,9% 3 mg/ml 24°C Valo
24 tunti
421
Jokeri

Lasi Natriumkloridi 0,9% 3 mg/ml 25°C Ei määritetty
7 Päivä
1200
Biologinen menetelmä

Lasi Natriumkloridi 0,9% 3 mg/ml 4°C Suojattava valolta
7 Päivä
1200
Biologinen menetelmä

Lasi Glukoosi 5% 3 mg/ml 24°C Valo
24 tunti
421
Jokeri

Lasi Glukoosi 5% 3 mg/ml 25°C Ei määritetty
7 Päivä
1200
Biologinen menetelmä

Lasi Glukoosi 5% 3 mg/ml 4°C Suojattava valolta
7 Päivä
1200
Biologinen menetelmä

Lasi Ringerlaktaattiliuos 3 mg/ml 25°C Ei määritetty
7 Päivä
1200
Biologinen menetelmä

Lasi Ringerlaktaattiliuos 3 mg/ml 4°C Suojattava valolta
7 Päivä
1200
Biologinen menetelmä

Lasi Natriumkloridi 3% 3 mg/ml 25°C Ei määritetty
7 Päivä
1200
Biologinen menetelmä

Lasi Natriumkloridi 3% 3 mg/ml 4°C Suojattava valolta
7 Päivä
1200
Biologinen menetelmä

Lasi Glukoosi 10% 3 mg/ml 25°C Ei määritetty
7 Päivä
1200
Biologinen menetelmä

Lasi Glukoosi 10% 3 mg/ml 4°C Suojattava valolta
7 Päivä
1200
Biologinen menetelmä

Polyvinyylikloridi Natriumkloridi 0,9% 3 mg/ml 24°C Valo
24 tunti
421
Jokeri

Polyvinyylikloridi Glukoosi 5% 3 mg/ml 24°C Valo
24 tunti
421
Jokeri

Ruisku  polypropeeni Ei mikään 10 mg/ml 25°C Suojattava valolta
9 Päivä
1929
Näytön laajuus B

Ruisku  polypropeeni Ei mikään 10 & 100 mg/ml 7°C Suojattava valolta
90 Päivä
1929
Näytön laajuus B

Ruisku  polypropeeni Ei mikään 100 mg/ml 25°C Suojattava valolta
30 Päivä
1929
Näytön laajuus B


  Mentions Légales