Последнее обновление :
18/03/2026
Антибиотик   Netilmicin sulfate  
Инъекция
Аэрозоль
Стабильность растворов Стабильность смесей Факторы, которые влияют на стабильность Совместимость Способы введения Библиография pdf
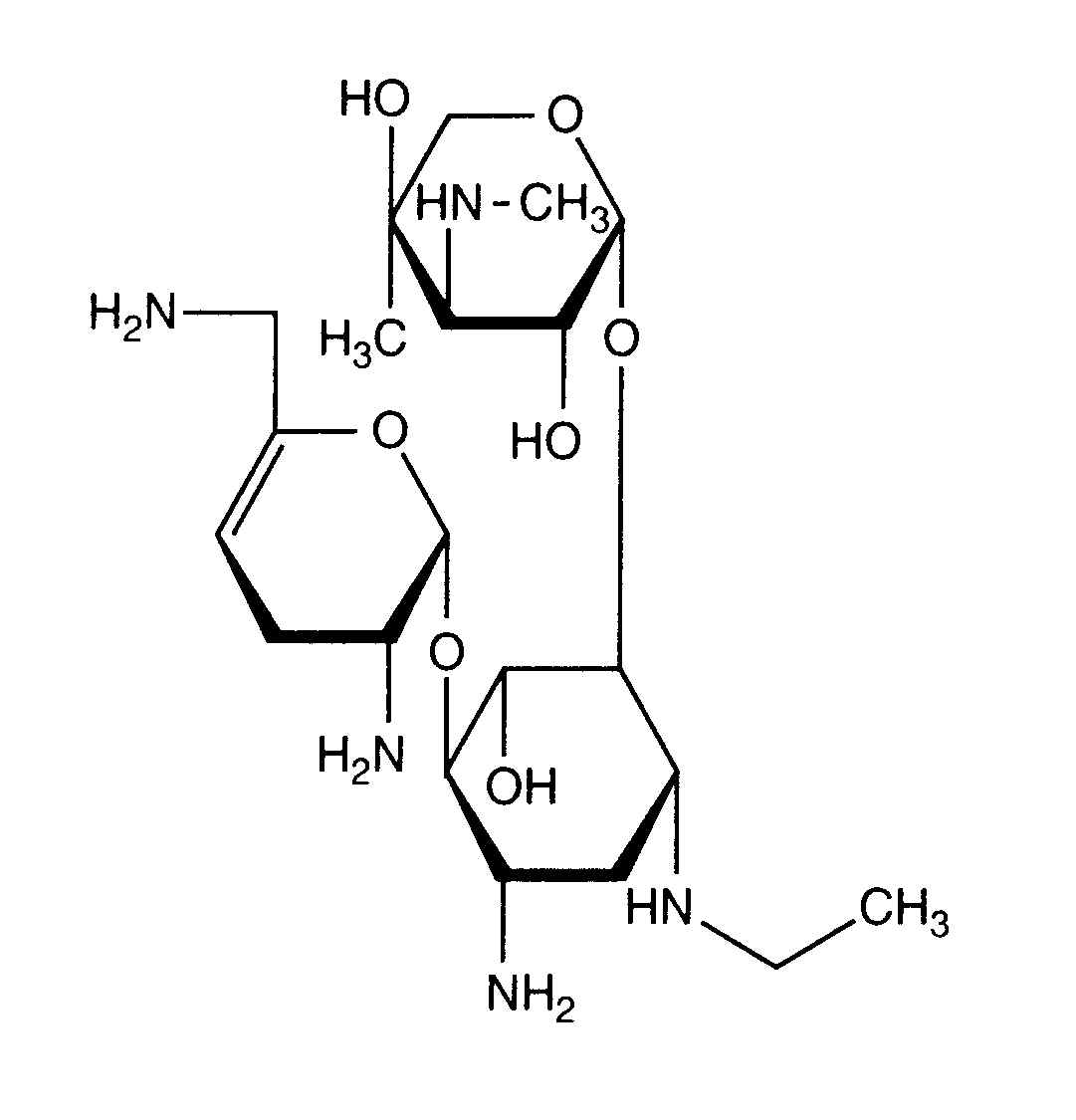
   Химическая структура  

Товарное название   Товарное название     

Trade names are indicative and excipients composition can be different depending on the country and manufacturers

Bactob Индия
Beltob Индия
Bramicil Италия
Brulamycin Венгрия
Eltol Индия
Fytobra Индия
Gernebcin Германия
Komitub Индия
Nebcin Австралия, Великобритания, Греция, Египет, новая Зеландия, Объединенные Арабские Эмираты, Саудовская Аравия
Nebcina Дания, Марокко, Норвегия, Швеция
Nebcine Марокко
Nebicina Италия
Netilyn Финляндия, Швеция
Netromicina Португалия
Netromicine Франция
Netromycine Греция, Польша, Русский, Турция
Nettacin Италия
Obracin Бельгия, Голландия, Люксембург, Швейцария
Tobra Германия
Tobra Alex Египет
Tobra Day новая Зеландия
Tobra Gobens Испания
Tobracin Египет
Tobradistin Испания
Tobramicina Венесуэла, Испания, Италия, Португалия
Tobramina Бразилия
Tobramycin Австралия, Великобритания, Германия, Ирландия, Канада, Норвегия, Саудовская Аравия, Соединённые Штаты Америки
Tobramycine Голландия, Ирландия, Франция
Tobrasix Австрия
Tobrazid Германия
Tomycin Финляндия
Zetamicin Италия
Стабильность растворов   Инъекция   Стабильность растворов : Netilmicin sulfate     
Упаковка Растворитель Концентрация Температура Хранение Продолжительность стабильности Ссылки
Стекло Вода для инъекций 3 mg/ml 25°C Не указано
7 День
1200
Биологический метод

Стекло Вода для инъекций 3 mg/ml 4°C Защищён от света
7 День
1200
Биологический метод

Стекло Натрия хлорид 0,9% 3 mg/ml 24°C Свет
24 Час
421
ДЖОКЕР

Стекло Натрия хлорид 0,9% 3 mg/ml 25°C Не указано
7 День
1200
Биологический метод

Стекло Натрия хлорид 0,9% 3 mg/ml 4°C Защищён от света
7 День
1200
Биологический метод

Стекло Глюкоза 5% 3 mg/ml 24°C Свет
24 Час
421
ДЖОКЕР

Стекло Глюкоза 5% 3 mg/ml 25°C Не указано
7 День
1200
Биологический метод

Стекло Глюкоза 5% 3 mg/ml 4°C Защищён от света
7 День
1200
Биологический метод

Стекло Раствор Рингера лактата 3 mg/ml 25°C Не указано
7 День
1200
Биологический метод

Стекло Раствор Рингера лактата 3 mg/ml 4°C Защищён от света
7 День
1200
Биологический метод

Стекло Натрия хлорид 3% 3 mg/ml 25°C Не указано
7 День
1200
Биологический метод

Стекло Натрия хлорид 3% 3 mg/ml 4°C Защищён от света
7 День
1200
Биологический метод

Стекло Глюкоза 10% 3 mg/ml 25°C Не указано
7 День
1200
Биологический метод

Стекло Глюкоза 10% 3 mg/ml 4°C Защищён от света
7 День
1200
Биологический метод

Поливинилхлорид Натрия хлорид 0,9% 3 mg/ml 24°C Свет
24 Час
421
ДЖОКЕР

Поливинилхлорид Глюкоза 5% 3 mg/ml 24°C Свет
24 Час
421
ДЖОКЕР

Шприц полипропилен Нет 10 mg/ml 25°C Защищён от света
9 День
1929
Уровень доказательности B

Шприц полипропилен Нет 10 & 100 mg/ml 7°C Защищён от света
90 День
1929
Уровень доказательности B

Шприц полипропилен Нет 100 mg/ml 25°C Защищён от света
30 День
1929
Уровень доказательности B


  Mentions Légales