Cập nhật lần cuối :
18/03/2026
Kháng sinh   Netilmicin sulfate  
Dạng tiêm
Khí dung
Tính ổn định của các dung dịch Độ ổn định khi trộn lẫn Những yếu tố ảnh hưởng đến độ ổn định Khả năng tương thích Đường dùng Tài liệu tham khảo Pdf
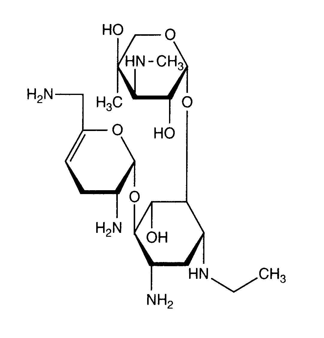
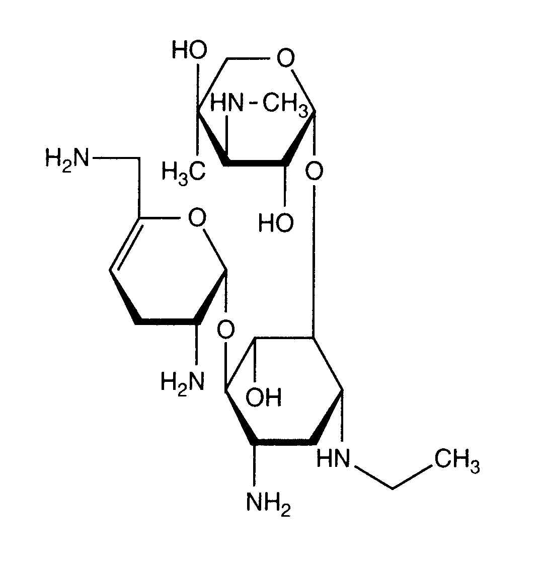
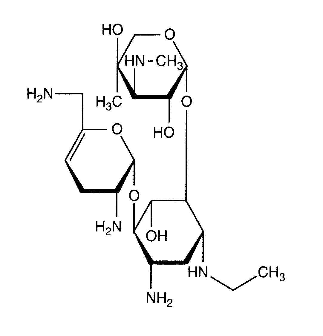
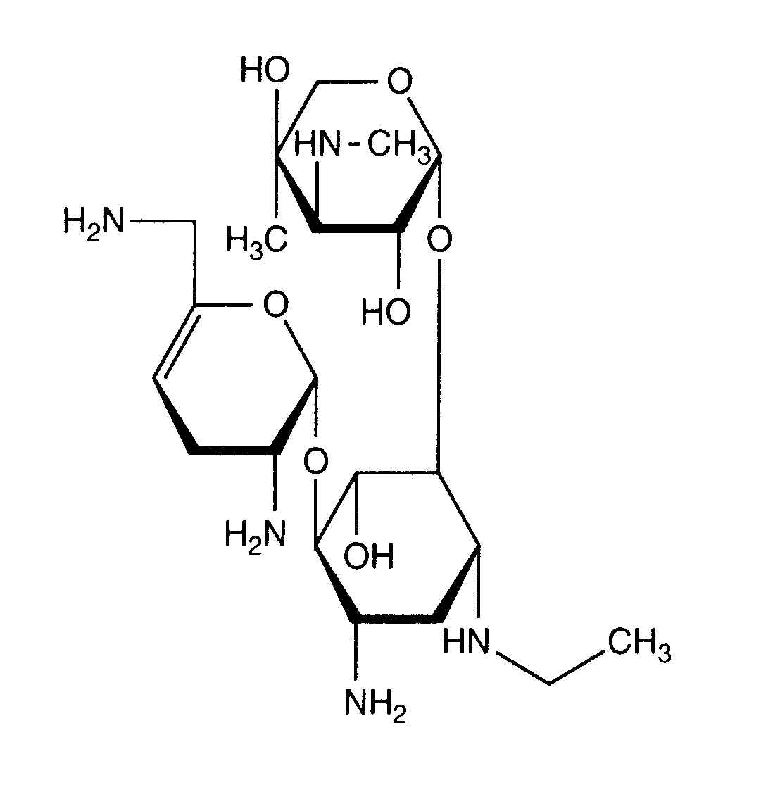
   Cấu trúc hóa học  

Tên thương mại   Tên thương mại     

Các tên thương mại được cung cấp và thành phần tá dược có thể khác nhau giữa các quốc gia và các hãng dược

Bactob Ấn Độ
Beltob Ấn Độ
Bramicil Ý
Brulamycin Hungary
Eltol Ấn Độ
Fytobra Ấn Độ
Gernebcin Đức
Komitub Ấn Độ
Nebcin Ả Rập, Ả Rập Saudi, Anh, Hy Lạp, new zealand, Úc, United Arab Emirates
Nebcina Morocco, Na Uy, Thụy Điển, Đan Mạch
Nebcine Morocco
Nebicina Ý
Netilyn Phần Lan, Thụy Điển
Netromicina Bồ Đào Nha
Netromicine Pháp
Netromycine Ba Lan, Hy Lạp, Nga, Thổ Nhĩ Kỳ
Nettacin Ý
Obracin Bỉ, Hà Lan, Luxembourg, Thụy Sỹ
Tobra Đức
Tobra Alex Ả Rập
Tobra Day new zealand
Tobra Gobens Tây Ban Nha
Tobracin Ả Rập
Tobradistin Tây Ban Nha
Tobramicina Bồ Đào Nha, Tây Ban Nha, Venezuela, Ý
Tobramina Brazil
Tobramycin Ả Rập Saudi, Anh, Canada, Hoa Kỳ, Ireland, Na Uy, Úc, Đức
Tobramycine Hà Lan, Ireland, Pháp
Tobrasix Áo
Tobrazid Đức
Tomycin Phần Lan
Zetamicin Ý
Tài liệu tham khảo   Dạng tiêm   Tài liệu tham khảo : Netilmicin sulfate  
Loại Nguồn
3 Tạp chí Trissel LA, Martinez JF.
Compatibility of amifostine with selected drugs during simulated Y-site administration.
Am J Health-Syst Pharm 1995 ; 52: 2208-2212.
59 Tạp chí Trissel LA, Gilbert DL, Martinez JF, Kim MC.
Compatibility of remifentanil hydrochloride with selected drugs during simulated Y-site administration.
Am J Health-Syst Pharm 1997 ; 54: 2192-2196.
84 Tạp chí Trissel LA, Martinez JF.
Visual, turbidimetric, and particle-content assessment of compatibility of vinorelbine tartrate with selected drugs during simulated Y-site injection.
Am J Hosp Pharm 1994 ; 51: 495-499.
99 Tạp chí Trissel LA, Martinez JF.
Compatibility of aztreonam with selected drugs during simulated Y-site administration.
Am J Health-Syst Pharm 1995 ; 52: 1086-1090.
169 Tạp chí Trissel LA, Martinez JF.
Physical compatibility of melphalan with selected drugs during simulated Y-site administration.
Am J Hosp Pharm 1993 ; 50: 2359-2363.
182 Tạp chí Trissel LA, Gilbert DL, Martinez JF.
Compatibility of granisetron hydrochloride with selected drugs during simulated Y-site administration.
Am J Health-Syst Pharm 1997 ; 54: 56-60.
244 Tạp chí Trissel LA, Martinez JF.
Compatibility of filgrastim with selected drugs during simulated Y-site administration.
Am J Hosp Pharm 1994 ; 51: 1907-1913.
249 Tạp chí Trissel LA, Martinez JF.
Compatibility of thiotepa (lyophilized) with selected drugs during simulated Y-site administration.
Am J Health-Syst Pharm 1996 ; 53: 1041-1045.
251 Tạp chí Trissel LA, Gilbert DL, Martinez JF.
Compatibility of doxorubicin hydrochloride liposome injection with selected other drugs during simulated Y-site administration.
Am J Health-Syst Pharm 1997 ; 54: 2708-2713.
289 Tạp chí Jim LK.
Physical and chemical compatibility of intravenous ciprofloxacin with other drugs.
Ann Pharmacotherapy 1993 ; 27: 704-707.
299 Tạp chí Trissel LA, Martinez JF, Gilbert DL.
Compatibility of cisatracurium besylate with selected drugs during simulated Y-site administration.
Am J Health-Syst Pharm 1997 ; 54: 1735-1741.
300 Tạp chí Trissel LA, Gilbert DL, Martinez JF.
Compatibility of propofol injectable emulsion with selected drugs during simulated Y-site administration.
Am J Health-Syst Pharm 1997 ; 54: 1287-1292.
301 Tạp chí Trissel LA, Gilbert DL, Martinez JF, Baker MB, Walter WV, Mirtallo JM.
Compatibility of parenteral nutrient solutions with selected drugs during simulated Y-site administration.
Am J Health-Syst Pharm 1997 ; 54: 1295-1300.
307 Tạp chí Trissel LA, Martinez JF.
Compatibility of allopurinol sodium with selected drugs during simulated Y-site administration.
Am J Hosp Pharm 1994 ; 51: 1792-1799.
335 Tạp chí Trissel LA, Bready BB, Kwan JW, Santiago NM.
Visual compatibility of sargramostim with selected antineoplasic agents, anti-infectives, or other drugs during simulated Y-site injection.
Am J Hosp Pharm 1992 ; 49: 402-406.
367 Tạp chí Thompson DF, Allen LV, Desai SR, Rao PS.
Compatibility of furosemide with aminoglycoside admixtures.
Am J Hosp Pharm 1985 ; 42: 116-119.
421 Tạp chí Foley PT, Bosso JA, Bair JN, Townsend RJ.
Compatibility of clindamycin phosphate with cefotaxim sodium or netilmicin sulfate in small-volume admixtures.
Am J Hosp Pharm 1985 ; 42: 839-843.
492 Tạp chí Trissel LA, Parks NPT, Santiago NM.
Visual compatibility of fludarabine phosphate with antineoplastic drugs, anti-infectives, and other selected drugs during simulated Y-site injection.
Am J Hosp Pharm 1991 ; 48: 2186-2189.
905 Tạp chí Trissel LA, Martinez JF.
Screening teniposide for Y-site physical incompatibilities.
Hosp Pharm 1994 ; 29: 1010-1017.
921 Tạp chí Trissel LA, Gilbert DL, Martinez JF.
Incompatibility and compatibility of amphotericin B cholesteryl sulfate complex with selected other drugs during simulated Y-site administration.
Hosp Pharm 1998 ; 33: 284-292.
958 Tạp chí Vervloet E, Lammers J, Tan LSL, Van Mourik CH, Rots M.
Netilmicin sulfate stability in combinaison with metronidazole or ranitidine hydrochloride in NaCl 0.9% infusion.
Ann Pharmacotherapy 1990 ; 24: 440-442.
999 Tạp chí Watson D.
Piggyback compatibility of antibiotics with pediatric parenteral nutrition solution.
JPEN 1985 ; 9: 220-224.
1022 Tạp chí Hutchinson SMW.
Heparin and aminoglycosides instability.
Drug Intell Clin Pharm 1986 ; 20: 886.
1035 Tạp chí Bisaillon S, Sarrazin R.
Compatibility of several antibiotics or hydrocortisone when added to metronidazole solution for intravenous infusion.
J Parenter Sci Technol 1983 ; 37: 129-132.
1200 Tạp chí Chaudry IA, Bruey KP, Hurlburt LE, Oden EM.
Compatibility of netilmycin sulfate injection with commonly used intravenous injections and additives.
Am J Hosp Pharm 1981 ; 38: 1737-1742.
1236 Tạp chí Kuhn RJ, Nahata MC.
Stability of netilmicin sulfate in admixtures with calcium gluconate and aminophylline.
Am J Hosp Pharm 1986 ; 43: 1241-1242.
1410 Tạp chí Trissel LA, Martinez JF, Simmons M.
Compatibility of etoposide phosphate with selected drugs during simulated Y-site injection.
J Am Pharm Assoc 1999 ; 39: 141-145.
1415 Tạp chí Trissel L.A, Gilbert D.L, Martinez J.F, Baker M.B, Walter W.V, Mirtallo J.M.
Compatibility of medications with 3-in-1 parenteral nutrition admixtures.
JPEN 1999 ; 23: 67-74.
1423 Tạp chí Trissel LA, Martinez JF, Gilbert DL.
Compatibility of gemcitabine hyrochloride with 107 selected drugs during simulated Y-site injection.
J Am Pharm Assoc 1999 ; 39: 514-518.
1754 Tạp chí Trissel LA, Gilbert DL, Wolkin AC.
Compatibility of docetaxel with selected drugs during simulated Y-site administration.
Int J Pharm Compound 1999 ; 3: 241-244.
1925 Tạp chí Trissel LA , Williams KY, Gilbert DL.
Compatibility screening of linezolid injection during simulated Y-site administration with other drugs and infusion solutions.
J Am Pharm Assoc 2000 ; 40: 515-519.
1929 Tạp chí Rigge DC, Jones MF.
Shelf lives of aseptically prepared medicines - stability of netilmicin injection in polypropylene syringes.
J Pharm Biomed Anal 2004 ; 35: 1251-1256.
2296 Thông tin của nhà sản xuất Témocilline (Negaban®) - Résumé des caractéristiques du produit
Eumedica 2017
3522 Thông tin của nhà sản xuất Flucloxacillin - Summary of Product Characteristics.
Actavis 2013
3523 Thông tin của nhà sản xuất Ceftriaxone (Rocephin®) - Summary of Product Characteristics.
Roche 2018
3526 Thông tin của nhà sản xuất Clindamycin (Dalacin®) - Summary of Product Characteristics
Pharmacia 2010
3527 Thông tin của nhà sản xuất Amoxicillin (Amoxil®) – Summary of Product Characteristics
Glaxo Smith Kline 2018
3540 Thông tin của nhà sản xuất Heparin sodium - Summary of Product Characteristics.
Wockhardt 2010
3543 Thông tin của nhà sản xuất Ceftazidime – Summary of Product Characteristics
Wockhardt 2013
3544 Thông tin của nhà sản xuất Cefoperazone (Cefobid®) - Summary of Product Characteristics
Pfizer 2006
3545 Thông tin của nhà sản xuất Amoxicilline / acide clavulanique - Résumé des caractéristiques du produit
Mylan SAS 2009
3546 Thông tin của nhà sản xuất Cefamandole Flavelab - Résumé des caractéristiques du produit
Panpharma SA 2007
3548 Thông tin của nhà sản xuất Cefepime (Maxipime®) - Summary of Product caracteristics.
Bristol Myers Squibb 2007
3578 Thông tin của nhà sản xuất Cisplatin - Summary of Product Characteristics
Accord Healthcare 2011
3586 Thông tin của nhà sản xuất Piperacilline tazobactam Actavis® - Résumé des caractéristiques du produit
Actavis France 2010
3587 Thông tin của nhà sản xuất Ticarcilline/acide clavulanique (Timentin®) - Summary of Product Characteristics
GlaxoSmithKline 2014
3594 Thông tin của nhà sản xuất Metronidazole (Flagyl®) - Summary of Product Characteristics
Zentiva 2013
3644 Thông tin của nhà sản xuất Calcium gluconate® - Summary of Product Characteristics
Hameln Pharmaceuticals 2010
3656 Thông tin của nhà sản xuất Teicoplanine (Targocid®) - Résumé des caractéristiques du produit
Sanofi Aventis France 2014
3674 Thông tin của nhà sản xuất Erythromycin lactobionate - Summary of Product Characteristics
PanPharma 2016
3687 Thông tin của nhà sản xuất Cefuroxime sodium - Summary of Product Characteristics
Stravencon 2013
3883 Thông tin của nhà sản xuất Ceftazidime - Résumé des caractéristiques du produit
Arrow 2016
4964 Thông tin của nhà sản xuất GLUCONATE DE CALCIUM 10 % B.BRAUN, solution pour perfusion - Résumé des caractéristiques du produit.
B BRAUN MELSUNGEN AG 2019

  Mentions Légales