Posledná aktualizácia :
18/03/2026
antibiotikum   Netilmicin sulfate  
Injekcia
Aerosól
Stabilita roztokov Stabilita v zmesiach Faktory ovplyvňujúce stabilitu Kompatibility spôsob podania Odkazy na literatúru PDF
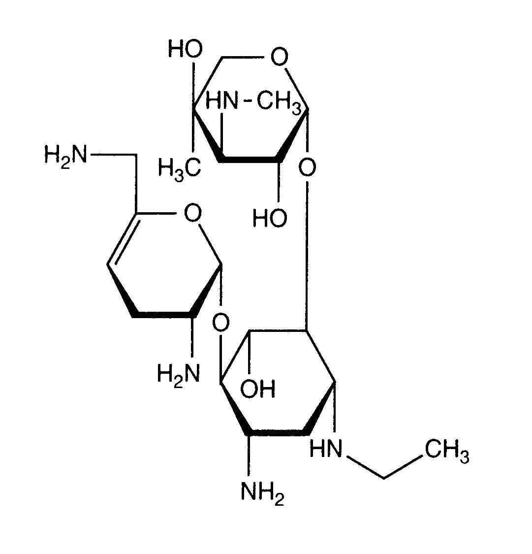
   Chemický vzorec  

Obchodný názov   Obchodný názov     

Obchodné názvy sú orientačné, a zloženie pomocných látok sa môže líšiť v závislosti od krajiny a výrobcu.

Bactob India
Beltob India
Bramicil Taliansko
Brulamycin Maďarsko
Eltol India
Fytobra India
Gernebcin Nemecko
Komitub India
Nebcin Austrália, Egypt, Grécko, nový Zéland, Saudská Arábia, Spojené arabské emiráty, Veľká Británia
Nebcina Dánsko, Maroko, Nórsko, Švédsko
Nebcine Maroko
Nebicina Taliansko
Netilyn Fínsko, Švédsko
Netromicina Portugalsko
Netromicine Francúzsko
Netromycine Grécko, Poľsko, ruský, Turecko
Nettacin Taliansko
Obracin Belgicko, Holandsko, Luxembursko, Švajčiarsko
Tobra Nemecko
Tobra Alex Egypt
Tobra Day nový Zéland
Tobra Gobens Španielsko
Tobracin Egypt
Tobradistin Španielsko
Tobramicina Portugalsko, Španielsko, Taliansko, Venezuela
Tobramina Brazília
Tobramycin Austrália, Írsko, Kanada, Nemecko, Nórsko, Saudská Arábia, Spojené štáty Americké, Veľká Británia
Tobramycine Francúzsko, Holandsko, Írsko
Tobrasix Rakúsko
Tobrazid Nemecko
Tomycin Fínsko
Zetamicin Taliansko
Odkazy na literatúru   Injekcia   Odkazy na literatúru : Netilmicin sulfate  
Typ Publikácia
3 Časopis Trissel LA, Martinez JF.
Compatibility of amifostine with selected drugs during simulated Y-site administration.
Am J Health-Syst Pharm 1995 ; 52: 2208-2212.
59 Časopis Trissel LA, Gilbert DL, Martinez JF, Kim MC.
Compatibility of remifentanil hydrochloride with selected drugs during simulated Y-site administration.
Am J Health-Syst Pharm 1997 ; 54: 2192-2196.
84 Časopis Trissel LA, Martinez JF.
Visual, turbidimetric, and particle-content assessment of compatibility of vinorelbine tartrate with selected drugs during simulated Y-site injection.
Am J Hosp Pharm 1994 ; 51: 495-499.
99 Časopis Trissel LA, Martinez JF.
Compatibility of aztreonam with selected drugs during simulated Y-site administration.
Am J Health-Syst Pharm 1995 ; 52: 1086-1090.
169 Časopis Trissel LA, Martinez JF.
Physical compatibility of melphalan with selected drugs during simulated Y-site administration.
Am J Hosp Pharm 1993 ; 50: 2359-2363.
182 Časopis Trissel LA, Gilbert DL, Martinez JF.
Compatibility of granisetron hydrochloride with selected drugs during simulated Y-site administration.
Am J Health-Syst Pharm 1997 ; 54: 56-60.
244 Časopis Trissel LA, Martinez JF.
Compatibility of filgrastim with selected drugs during simulated Y-site administration.
Am J Hosp Pharm 1994 ; 51: 1907-1913.
249 Časopis Trissel LA, Martinez JF.
Compatibility of thiotepa (lyophilized) with selected drugs during simulated Y-site administration.
Am J Health-Syst Pharm 1996 ; 53: 1041-1045.
251 Časopis Trissel LA, Gilbert DL, Martinez JF.
Compatibility of doxorubicin hydrochloride liposome injection with selected other drugs during simulated Y-site administration.
Am J Health-Syst Pharm 1997 ; 54: 2708-2713.
289 Časopis Jim LK.
Physical and chemical compatibility of intravenous ciprofloxacin with other drugs.
Ann Pharmacotherapy 1993 ; 27: 704-707.
299 Časopis Trissel LA, Martinez JF, Gilbert DL.
Compatibility of cisatracurium besylate with selected drugs during simulated Y-site administration.
Am J Health-Syst Pharm 1997 ; 54: 1735-1741.
300 Časopis Trissel LA, Gilbert DL, Martinez JF.
Compatibility of propofol injectable emulsion with selected drugs during simulated Y-site administration.
Am J Health-Syst Pharm 1997 ; 54: 1287-1292.
301 Časopis Trissel LA, Gilbert DL, Martinez JF, Baker MB, Walter WV, Mirtallo JM.
Compatibility of parenteral nutrient solutions with selected drugs during simulated Y-site administration.
Am J Health-Syst Pharm 1997 ; 54: 1295-1300.
307 Časopis Trissel LA, Martinez JF.
Compatibility of allopurinol sodium with selected drugs during simulated Y-site administration.
Am J Hosp Pharm 1994 ; 51: 1792-1799.
335 Časopis Trissel LA, Bready BB, Kwan JW, Santiago NM.
Visual compatibility of sargramostim with selected antineoplasic agents, anti-infectives, or other drugs during simulated Y-site injection.
Am J Hosp Pharm 1992 ; 49: 402-406.
367 Časopis Thompson DF, Allen LV, Desai SR, Rao PS.
Compatibility of furosemide with aminoglycoside admixtures.
Am J Hosp Pharm 1985 ; 42: 116-119.
421 Časopis Foley PT, Bosso JA, Bair JN, Townsend RJ.
Compatibility of clindamycin phosphate with cefotaxim sodium or netilmicin sulfate in small-volume admixtures.
Am J Hosp Pharm 1985 ; 42: 839-843.
492 Časopis Trissel LA, Parks NPT, Santiago NM.
Visual compatibility of fludarabine phosphate with antineoplastic drugs, anti-infectives, and other selected drugs during simulated Y-site injection.
Am J Hosp Pharm 1991 ; 48: 2186-2189.
905 Časopis Trissel LA, Martinez JF.
Screening teniposide for Y-site physical incompatibilities.
Hosp Pharm 1994 ; 29: 1010-1017.
921 Časopis Trissel LA, Gilbert DL, Martinez JF.
Incompatibility and compatibility of amphotericin B cholesteryl sulfate complex with selected other drugs during simulated Y-site administration.
Hosp Pharm 1998 ; 33: 284-292.
958 Časopis Vervloet E, Lammers J, Tan LSL, Van Mourik CH, Rots M.
Netilmicin sulfate stability in combinaison with metronidazole or ranitidine hydrochloride in NaCl 0.9% infusion.
Ann Pharmacotherapy 1990 ; 24: 440-442.
999 Časopis Watson D.
Piggyback compatibility of antibiotics with pediatric parenteral nutrition solution.
JPEN 1985 ; 9: 220-224.
1022 Časopis Hutchinson SMW.
Heparin and aminoglycosides instability.
Drug Intell Clin Pharm 1986 ; 20: 886.
1035 Časopis Bisaillon S, Sarrazin R.
Compatibility of several antibiotics or hydrocortisone when added to metronidazole solution for intravenous infusion.
J Parenter Sci Technol 1983 ; 37: 129-132.
1200 Časopis Chaudry IA, Bruey KP, Hurlburt LE, Oden EM.
Compatibility of netilmycin sulfate injection with commonly used intravenous injections and additives.
Am J Hosp Pharm 1981 ; 38: 1737-1742.
1236 Časopis Kuhn RJ, Nahata MC.
Stability of netilmicin sulfate in admixtures with calcium gluconate and aminophylline.
Am J Hosp Pharm 1986 ; 43: 1241-1242.
1410 Časopis Trissel LA, Martinez JF, Simmons M.
Compatibility of etoposide phosphate with selected drugs during simulated Y-site injection.
J Am Pharm Assoc 1999 ; 39: 141-145.
1415 Časopis Trissel L.A, Gilbert D.L, Martinez J.F, Baker M.B, Walter W.V, Mirtallo J.M.
Compatibility of medications with 3-in-1 parenteral nutrition admixtures.
JPEN 1999 ; 23: 67-74.
1423 Časopis Trissel LA, Martinez JF, Gilbert DL.
Compatibility of gemcitabine hyrochloride with 107 selected drugs during simulated Y-site injection.
J Am Pharm Assoc 1999 ; 39: 514-518.
1754 Časopis Trissel LA, Gilbert DL, Wolkin AC.
Compatibility of docetaxel with selected drugs during simulated Y-site administration.
Int J Pharm Compound 1999 ; 3: 241-244.
1925 Časopis Trissel LA , Williams KY, Gilbert DL.
Compatibility screening of linezolid injection during simulated Y-site administration with other drugs and infusion solutions.
J Am Pharm Assoc 2000 ; 40: 515-519.
1929 Časopis Rigge DC, Jones MF.
Shelf lives of aseptically prepared medicines - stability of netilmicin injection in polypropylene syringes.
J Pharm Biomed Anal 2004 ; 35: 1251-1256.
2296 Laboratórium Témocilline (Negaban®) - Résumé des caractéristiques du produit
Eumedica 2017
3522 Laboratórium Flucloxacillin - Summary of Product Characteristics.
Actavis 2013
3523 Laboratórium Ceftriaxone (Rocephin®) - Summary of Product Characteristics.
Roche 2018
3526 Laboratórium Clindamycin (Dalacin®) - Summary of Product Characteristics
Pharmacia 2010
3527 Laboratórium Amoxicillin (Amoxil®) – Summary of Product Characteristics
Glaxo Smith Kline 2018
3540 Laboratórium Heparin sodium - Summary of Product Characteristics.
Wockhardt 2010
3543 Laboratórium Ceftazidime – Summary of Product Characteristics
Wockhardt 2013
3544 Laboratórium Cefoperazone (Cefobid®) - Summary of Product Characteristics
Pfizer 2006
3545 Laboratórium Amoxicilline / acide clavulanique - Résumé des caractéristiques du produit
Mylan SAS 2009
3546 Laboratórium Cefamandole Flavelab - Résumé des caractéristiques du produit
Panpharma SA 2007
3548 Laboratórium Cefepime (Maxipime®) - Summary of Product caracteristics.
Bristol Myers Squibb 2007
3578 Laboratórium Cisplatin - Summary of Product Characteristics
Accord Healthcare 2011
3586 Laboratórium Piperacilline tazobactam Actavis® - Résumé des caractéristiques du produit
Actavis France 2010
3587 Laboratórium Ticarcilline/acide clavulanique (Timentin®) - Summary of Product Characteristics
GlaxoSmithKline 2014
3594 Laboratórium Metronidazole (Flagyl®) - Summary of Product Characteristics
Zentiva 2013
3644 Laboratórium Calcium gluconate® - Summary of Product Characteristics
Hameln Pharmaceuticals 2010
3656 Laboratórium Teicoplanine (Targocid®) - Résumé des caractéristiques du produit
Sanofi Aventis France 2014
3674 Laboratórium Erythromycin lactobionate - Summary of Product Characteristics
PanPharma 2016
3687 Laboratórium Cefuroxime sodium - Summary of Product Characteristics
Stravencon 2013
3883 Laboratórium Ceftazidime - Résumé des caractéristiques du produit
Arrow 2016
4964 Laboratórium GLUCONATE DE CALCIUM 10 % B.BRAUN, solution pour perfusion - Résumé des caractéristiques du produit.
B BRAUN MELSUNGEN AG 2019

  Mentions Légales