Останнє оновлення :
18/03/2026
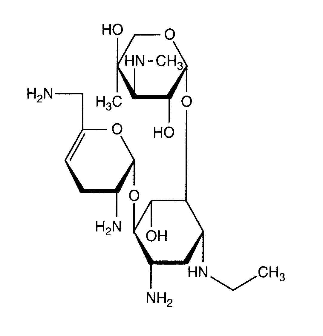
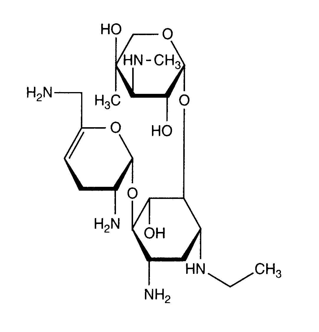
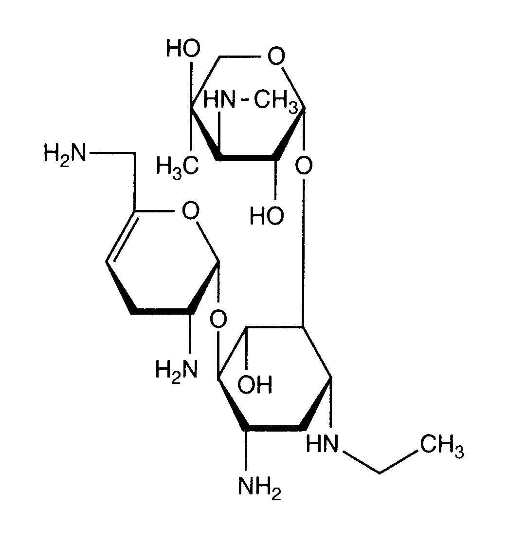
Антибіотик   Netilmicin sulfate  
ін'єкція
аерозоль
Стійкість в розчинах Стійкість сумішей Фактори, що впливають на стабільність Сумісність Шлях введення Список літератури pdf
   Хімічна структура  

Торгова назва   Торгова назва     

Торгові назви є орієнтовними, а склад допоміжних речовин може бути різним залежно від країни та виробника

Bactob Індія
Beltob Індія
Bramicil Італія
Brulamycin Угорщина
Eltol Індія
Fytobra Індія
Gernebcin Німеччина
Komitub Індія
Nebcin Єгипет, Австралія, Великобританія, Греція, Нова Зеландія, Об'єднані Арабські Емірати, Саудівська Аравія
Nebcina Данія, Марокко, Норвегія, Швеція
Nebcine Марокко
Nebicina Італія
Netilyn Фінляндія, Швеція
Netromicina Португалія
Netromicine Франція
Netromycine Греція, Польща, російський, Туреччина
Nettacin Італія
Obracin Бельгія, Люксембург, Нідерланди, Швейцарія
Tobra Німеччина
Tobra Alex Єгипет
Tobra Day Нова Зеландія
Tobra Gobens Іспанія
Tobracin Єгипет
Tobradistin Іспанія
Tobramicina Іспанія, Італія, Венесуела, Португалія
Tobramina Бразилія
Tobramycin Ірландія, Австралія, Великобританія, Канада, Німеччина, Норвегія, Саудівська Аравія, Сполучені Штати Америки
Tobramycine Ірландія, Нідерланди, Франція
Tobrasix Австрія
Tobrazid Німеччина
Tomycin Фінляндія
Zetamicin Італія
Список літератури   ін'єкція   Список літератури : Netilmicin sulfate  
Тип Публікація
3 журнал Trissel LA, Martinez JF.
Compatibility of amifostine with selected drugs during simulated Y-site administration.
Am J Health-Syst Pharm 1995 ; 52: 2208-2212.
59 журнал Trissel LA, Gilbert DL, Martinez JF, Kim MC.
Compatibility of remifentanil hydrochloride with selected drugs during simulated Y-site administration.
Am J Health-Syst Pharm 1997 ; 54: 2192-2196.
84 журнал Trissel LA, Martinez JF.
Visual, turbidimetric, and particle-content assessment of compatibility of vinorelbine tartrate with selected drugs during simulated Y-site injection.
Am J Hosp Pharm 1994 ; 51: 495-499.
99 журнал Trissel LA, Martinez JF.
Compatibility of aztreonam with selected drugs during simulated Y-site administration.
Am J Health-Syst Pharm 1995 ; 52: 1086-1090.
169 журнал Trissel LA, Martinez JF.
Physical compatibility of melphalan with selected drugs during simulated Y-site administration.
Am J Hosp Pharm 1993 ; 50: 2359-2363.
182 журнал Trissel LA, Gilbert DL, Martinez JF.
Compatibility of granisetron hydrochloride with selected drugs during simulated Y-site administration.
Am J Health-Syst Pharm 1997 ; 54: 56-60.
244 журнал Trissel LA, Martinez JF.
Compatibility of filgrastim with selected drugs during simulated Y-site administration.
Am J Hosp Pharm 1994 ; 51: 1907-1913.
249 журнал Trissel LA, Martinez JF.
Compatibility of thiotepa (lyophilized) with selected drugs during simulated Y-site administration.
Am J Health-Syst Pharm 1996 ; 53: 1041-1045.
251 журнал Trissel LA, Gilbert DL, Martinez JF.
Compatibility of doxorubicin hydrochloride liposome injection with selected other drugs during simulated Y-site administration.
Am J Health-Syst Pharm 1997 ; 54: 2708-2713.
289 журнал Jim LK.
Physical and chemical compatibility of intravenous ciprofloxacin with other drugs.
Ann Pharmacotherapy 1993 ; 27: 704-707.
299 журнал Trissel LA, Martinez JF, Gilbert DL.
Compatibility of cisatracurium besylate with selected drugs during simulated Y-site administration.
Am J Health-Syst Pharm 1997 ; 54: 1735-1741.
300 журнал Trissel LA, Gilbert DL, Martinez JF.
Compatibility of propofol injectable emulsion with selected drugs during simulated Y-site administration.
Am J Health-Syst Pharm 1997 ; 54: 1287-1292.
301 журнал Trissel LA, Gilbert DL, Martinez JF, Baker MB, Walter WV, Mirtallo JM.
Compatibility of parenteral nutrient solutions with selected drugs during simulated Y-site administration.
Am J Health-Syst Pharm 1997 ; 54: 1295-1300.
307 журнал Trissel LA, Martinez JF.
Compatibility of allopurinol sodium with selected drugs during simulated Y-site administration.
Am J Hosp Pharm 1994 ; 51: 1792-1799.
335 журнал Trissel LA, Bready BB, Kwan JW, Santiago NM.
Visual compatibility of sargramostim with selected antineoplasic agents, anti-infectives, or other drugs during simulated Y-site injection.
Am J Hosp Pharm 1992 ; 49: 402-406.
367 журнал Thompson DF, Allen LV, Desai SR, Rao PS.
Compatibility of furosemide with aminoglycoside admixtures.
Am J Hosp Pharm 1985 ; 42: 116-119.
421 журнал Foley PT, Bosso JA, Bair JN, Townsend RJ.
Compatibility of clindamycin phosphate with cefotaxim sodium or netilmicin sulfate in small-volume admixtures.
Am J Hosp Pharm 1985 ; 42: 839-843.
492 журнал Trissel LA, Parks NPT, Santiago NM.
Visual compatibility of fludarabine phosphate with antineoplastic drugs, anti-infectives, and other selected drugs during simulated Y-site injection.
Am J Hosp Pharm 1991 ; 48: 2186-2189.
905 журнал Trissel LA, Martinez JF.
Screening teniposide for Y-site physical incompatibilities.
Hosp Pharm 1994 ; 29: 1010-1017.
921 журнал Trissel LA, Gilbert DL, Martinez JF.
Incompatibility and compatibility of amphotericin B cholesteryl sulfate complex with selected other drugs during simulated Y-site administration.
Hosp Pharm 1998 ; 33: 284-292.
958 журнал Vervloet E, Lammers J, Tan LSL, Van Mourik CH, Rots M.
Netilmicin sulfate stability in combinaison with metronidazole or ranitidine hydrochloride in NaCl 0.9% infusion.
Ann Pharmacotherapy 1990 ; 24: 440-442.
999 журнал Watson D.
Piggyback compatibility of antibiotics with pediatric parenteral nutrition solution.
JPEN 1985 ; 9: 220-224.
1022 журнал Hutchinson SMW.
Heparin and aminoglycosides instability.
Drug Intell Clin Pharm 1986 ; 20: 886.
1035 журнал Bisaillon S, Sarrazin R.
Compatibility of several antibiotics or hydrocortisone when added to metronidazole solution for intravenous infusion.
J Parenter Sci Technol 1983 ; 37: 129-132.
1200 журнал Chaudry IA, Bruey KP, Hurlburt LE, Oden EM.
Compatibility of netilmycin sulfate injection with commonly used intravenous injections and additives.
Am J Hosp Pharm 1981 ; 38: 1737-1742.
1236 журнал Kuhn RJ, Nahata MC.
Stability of netilmicin sulfate in admixtures with calcium gluconate and aminophylline.
Am J Hosp Pharm 1986 ; 43: 1241-1242.
1410 журнал Trissel LA, Martinez JF, Simmons M.
Compatibility of etoposide phosphate with selected drugs during simulated Y-site injection.
J Am Pharm Assoc 1999 ; 39: 141-145.
1415 журнал Trissel L.A, Gilbert D.L, Martinez J.F, Baker M.B, Walter W.V, Mirtallo J.M.
Compatibility of medications with 3-in-1 parenteral nutrition admixtures.
JPEN 1999 ; 23: 67-74.
1423 журнал Trissel LA, Martinez JF, Gilbert DL.
Compatibility of gemcitabine hyrochloride with 107 selected drugs during simulated Y-site injection.
J Am Pharm Assoc 1999 ; 39: 514-518.
1754 журнал Trissel LA, Gilbert DL, Wolkin AC.
Compatibility of docetaxel with selected drugs during simulated Y-site administration.
Int J Pharm Compound 1999 ; 3: 241-244.
1925 журнал Trissel LA , Williams KY, Gilbert DL.
Compatibility screening of linezolid injection during simulated Y-site administration with other drugs and infusion solutions.
J Am Pharm Assoc 2000 ; 40: 515-519.
1929 журнал Rigge DC, Jones MF.
Shelf lives of aseptically prepared medicines - stability of netilmicin injection in polypropylene syringes.
J Pharm Biomed Anal 2004 ; 35: 1251-1256.
2296 Виробник Témocilline (Negaban®) - Résumé des caractéristiques du produit
Eumedica 2017
3522 Виробник Flucloxacillin - Summary of Product Characteristics.
Actavis 2013
3523 Виробник Ceftriaxone (Rocephin®) - Summary of Product Characteristics.
Roche 2018
3526 Виробник Clindamycin (Dalacin®) - Summary of Product Characteristics
Pharmacia 2010
3527 Виробник Amoxicillin (Amoxil®) – Summary of Product Characteristics
Glaxo Smith Kline 2018
3540 Виробник Heparin sodium - Summary of Product Characteristics.
Wockhardt 2010
3543 Виробник Ceftazidime – Summary of Product Characteristics
Wockhardt 2013
3544 Виробник Cefoperazone (Cefobid®) - Summary of Product Characteristics
Pfizer 2006
3545 Виробник Amoxicilline / acide clavulanique - Résumé des caractéristiques du produit
Mylan SAS 2009
3546 Виробник Cefamandole Flavelab - Résumé des caractéristiques du produit
Panpharma SA 2007
3548 Виробник Cefepime (Maxipime®) - Summary of Product caracteristics.
Bristol Myers Squibb 2007
3578 Виробник Cisplatin - Summary of Product Characteristics
Accord Healthcare 2011
3586 Виробник Piperacilline tazobactam Actavis® - Résumé des caractéristiques du produit
Actavis France 2010
3587 Виробник Ticarcilline/acide clavulanique (Timentin®) - Summary of Product Characteristics
GlaxoSmithKline 2014
3594 Виробник Metronidazole (Flagyl®) - Summary of Product Characteristics
Zentiva 2013
3644 Виробник Calcium gluconate® - Summary of Product Characteristics
Hameln Pharmaceuticals 2010
3656 Виробник Teicoplanine (Targocid®) - Résumé des caractéristiques du produit
Sanofi Aventis France 2014
3674 Виробник Erythromycin lactobionate - Summary of Product Characteristics
PanPharma 2016
3687 Виробник Cefuroxime sodium - Summary of Product Characteristics
Stravencon 2013
3883 Виробник Ceftazidime - Résumé des caractéristiques du produit
Arrow 2016
4964 Виробник GLUCONATE DE CALCIUM 10 % B.BRAUN, solution pour perfusion - Résumé des caractéristiques du produit.
B BRAUN MELSUNGEN AG 2019

  Mentions Légales