viimane versioon :
18/03/2026
antibiootikum   Netilmicin sulfate  
Süsteravim
aerosool
Stabiilsus lahustes Stabiilsust mõjutavad tegurid stabiilsust mõjutavad faktorid Sobimatus Manustamis viis Viited pdf
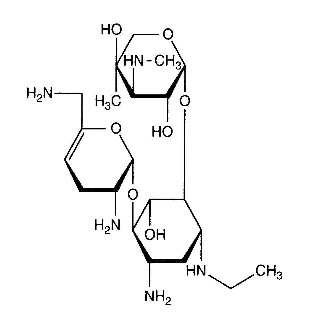
   keemiline struktuur  

Kaubanduslikud nimed erinevates maades   Kaubanduslikud nimed erinevates maades     

Preparaatide nimed on näitlikud ja abianete sisaldus võib erineda sõltuvalt riigist ja laborist

Bactob India
Beltob India
Bramicil Itaalia
Brulamycin Ungari
Eltol India
Fytobra India
Gernebcin Saksamaa
Komitub India
Nebcin Araabia Ühendemiraadid, Austraalia, Egiptus, Kreeka, Saudi Araabia, Suurbritannia, uus-Meremaa
Nebcina Maroko, Norra, Rootsi, Taani
Nebcine Maroko
Nebicina Itaalia
Netilyn Rootsi, Soome
Netromicina Portugal
Netromicine Prantsusmaa
Netromycine Kreeka, Poola, Türgi, vene
Nettacin Itaalia
Obracin Belgia, Holland, Luksemburg, Sveits
Tobra Saksamaa
Tobra Alex Egiptus
Tobra Day uus-Meremaa
Tobra Gobens Hispaania
Tobracin Egiptus
Tobradistin Hispaania
Tobramicina Hispaania, Itaalia, Portugal, Venetsueela
Tobramina Brasiilia
Tobramycin Ameerika ühendriigid, Austraalia, Iirimaa, Kanada, Norra, Saksamaa, Saudi Araabia, Suurbritannia
Tobramycine Holland, Iirimaa, Prantsusmaa
Tobrasix Austria
Tobrazid Saksamaa
Tomycin Soome
Zetamicin Itaalia
Viited   Süsteravim   Viited : Netilmicin sulfate  
tüüp avaldamine
3 ajaleht Trissel LA, Martinez JF.
Compatibility of amifostine with selected drugs during simulated Y-site administration.
Am J Health-Syst Pharm 1995 ; 52: 2208-2212.
59 ajaleht Trissel LA, Gilbert DL, Martinez JF, Kim MC.
Compatibility of remifentanil hydrochloride with selected drugs during simulated Y-site administration.
Am J Health-Syst Pharm 1997 ; 54: 2192-2196.
84 ajaleht Trissel LA, Martinez JF.
Visual, turbidimetric, and particle-content assessment of compatibility of vinorelbine tartrate with selected drugs during simulated Y-site injection.
Am J Hosp Pharm 1994 ; 51: 495-499.
99 ajaleht Trissel LA, Martinez JF.
Compatibility of aztreonam with selected drugs during simulated Y-site administration.
Am J Health-Syst Pharm 1995 ; 52: 1086-1090.
169 ajaleht Trissel LA, Martinez JF.
Physical compatibility of melphalan with selected drugs during simulated Y-site administration.
Am J Hosp Pharm 1993 ; 50: 2359-2363.
182 ajaleht Trissel LA, Gilbert DL, Martinez JF.
Compatibility of granisetron hydrochloride with selected drugs during simulated Y-site administration.
Am J Health-Syst Pharm 1997 ; 54: 56-60.
244 ajaleht Trissel LA, Martinez JF.
Compatibility of filgrastim with selected drugs during simulated Y-site administration.
Am J Hosp Pharm 1994 ; 51: 1907-1913.
249 ajaleht Trissel LA, Martinez JF.
Compatibility of thiotepa (lyophilized) with selected drugs during simulated Y-site administration.
Am J Health-Syst Pharm 1996 ; 53: 1041-1045.
251 ajaleht Trissel LA, Gilbert DL, Martinez JF.
Compatibility of doxorubicin hydrochloride liposome injection with selected other drugs during simulated Y-site administration.
Am J Health-Syst Pharm 1997 ; 54: 2708-2713.
289 ajaleht Jim LK.
Physical and chemical compatibility of intravenous ciprofloxacin with other drugs.
Ann Pharmacotherapy 1993 ; 27: 704-707.
299 ajaleht Trissel LA, Martinez JF, Gilbert DL.
Compatibility of cisatracurium besylate with selected drugs during simulated Y-site administration.
Am J Health-Syst Pharm 1997 ; 54: 1735-1741.
300 ajaleht Trissel LA, Gilbert DL, Martinez JF.
Compatibility of propofol injectable emulsion with selected drugs during simulated Y-site administration.
Am J Health-Syst Pharm 1997 ; 54: 1287-1292.
301 ajaleht Trissel LA, Gilbert DL, Martinez JF, Baker MB, Walter WV, Mirtallo JM.
Compatibility of parenteral nutrient solutions with selected drugs during simulated Y-site administration.
Am J Health-Syst Pharm 1997 ; 54: 1295-1300.
307 ajaleht Trissel LA, Martinez JF.
Compatibility of allopurinol sodium with selected drugs during simulated Y-site administration.
Am J Hosp Pharm 1994 ; 51: 1792-1799.
335 ajaleht Trissel LA, Bready BB, Kwan JW, Santiago NM.
Visual compatibility of sargramostim with selected antineoplasic agents, anti-infectives, or other drugs during simulated Y-site injection.
Am J Hosp Pharm 1992 ; 49: 402-406.
367 ajaleht Thompson DF, Allen LV, Desai SR, Rao PS.
Compatibility of furosemide with aminoglycoside admixtures.
Am J Hosp Pharm 1985 ; 42: 116-119.
421 ajaleht Foley PT, Bosso JA, Bair JN, Townsend RJ.
Compatibility of clindamycin phosphate with cefotaxim sodium or netilmicin sulfate in small-volume admixtures.
Am J Hosp Pharm 1985 ; 42: 839-843.
492 ajaleht Trissel LA, Parks NPT, Santiago NM.
Visual compatibility of fludarabine phosphate with antineoplastic drugs, anti-infectives, and other selected drugs during simulated Y-site injection.
Am J Hosp Pharm 1991 ; 48: 2186-2189.
905 ajaleht Trissel LA, Martinez JF.
Screening teniposide for Y-site physical incompatibilities.
Hosp Pharm 1994 ; 29: 1010-1017.
921 ajaleht Trissel LA, Gilbert DL, Martinez JF.
Incompatibility and compatibility of amphotericin B cholesteryl sulfate complex with selected other drugs during simulated Y-site administration.
Hosp Pharm 1998 ; 33: 284-292.
958 ajaleht Vervloet E, Lammers J, Tan LSL, Van Mourik CH, Rots M.
Netilmicin sulfate stability in combinaison with metronidazole or ranitidine hydrochloride in NaCl 0.9% infusion.
Ann Pharmacotherapy 1990 ; 24: 440-442.
999 ajaleht Watson D.
Piggyback compatibility of antibiotics with pediatric parenteral nutrition solution.
JPEN 1985 ; 9: 220-224.
1022 ajaleht Hutchinson SMW.
Heparin and aminoglycosides instability.
Drug Intell Clin Pharm 1986 ; 20: 886.
1035 ajaleht Bisaillon S, Sarrazin R.
Compatibility of several antibiotics or hydrocortisone when added to metronidazole solution for intravenous infusion.
J Parenter Sci Technol 1983 ; 37: 129-132.
1200 ajaleht Chaudry IA, Bruey KP, Hurlburt LE, Oden EM.
Compatibility of netilmycin sulfate injection with commonly used intravenous injections and additives.
Am J Hosp Pharm 1981 ; 38: 1737-1742.
1236 ajaleht Kuhn RJ, Nahata MC.
Stability of netilmicin sulfate in admixtures with calcium gluconate and aminophylline.
Am J Hosp Pharm 1986 ; 43: 1241-1242.
1410 ajaleht Trissel LA, Martinez JF, Simmons M.
Compatibility of etoposide phosphate with selected drugs during simulated Y-site injection.
J Am Pharm Assoc 1999 ; 39: 141-145.
1415 ajaleht Trissel L.A, Gilbert D.L, Martinez J.F, Baker M.B, Walter W.V, Mirtallo J.M.
Compatibility of medications with 3-in-1 parenteral nutrition admixtures.
JPEN 1999 ; 23: 67-74.
1423 ajaleht Trissel LA, Martinez JF, Gilbert DL.
Compatibility of gemcitabine hyrochloride with 107 selected drugs during simulated Y-site injection.
J Am Pharm Assoc 1999 ; 39: 514-518.
1754 ajaleht Trissel LA, Gilbert DL, Wolkin AC.
Compatibility of docetaxel with selected drugs during simulated Y-site administration.
Int J Pharm Compound 1999 ; 3: 241-244.
1925 ajaleht Trissel LA , Williams KY, Gilbert DL.
Compatibility screening of linezolid injection during simulated Y-site administration with other drugs and infusion solutions.
J Am Pharm Assoc 2000 ; 40: 515-519.
1929 ajaleht Rigge DC, Jones MF.
Shelf lives of aseptically prepared medicines - stability of netilmicin injection in polypropylene syringes.
J Pharm Biomed Anal 2004 ; 35: 1251-1256.
2296 Labor Témocilline (Negaban®) - Résumé des caractéristiques du produit
Eumedica 2017
3522 Labor Flucloxacillin - Summary of Product Characteristics.
Actavis 2013
3523 Labor Ceftriaxone (Rocephin®) - Summary of Product Characteristics.
Roche 2018
3526 Labor Clindamycin (Dalacin®) - Summary of Product Characteristics
Pharmacia 2010
3527 Labor Amoxicillin (Amoxil®) – Summary of Product Characteristics
Glaxo Smith Kline 2018
3540 Labor Heparin sodium - Summary of Product Characteristics.
Wockhardt 2010
3543 Labor Ceftazidime – Summary of Product Characteristics
Wockhardt 2013
3544 Labor Cefoperazone (Cefobid®) - Summary of Product Characteristics
Pfizer 2006
3545 Labor Amoxicilline / acide clavulanique - Résumé des caractéristiques du produit
Mylan SAS 2009
3546 Labor Cefamandole Flavelab - Résumé des caractéristiques du produit
Panpharma SA 2007
3548 Labor Cefepime (Maxipime®) - Summary of Product caracteristics.
Bristol Myers Squibb 2007
3578 Labor Cisplatin - Summary of Product Characteristics
Accord Healthcare 2011
3586 Labor Piperacilline tazobactam Actavis® - Résumé des caractéristiques du produit
Actavis France 2010
3587 Labor Ticarcilline/acide clavulanique (Timentin®) - Summary of Product Characteristics
GlaxoSmithKline 2014
3594 Labor Metronidazole (Flagyl®) - Summary of Product Characteristics
Zentiva 2013
3644 Labor Calcium gluconate® - Summary of Product Characteristics
Hameln Pharmaceuticals 2010
3656 Labor Teicoplanine (Targocid®) - Résumé des caractéristiques du produit
Sanofi Aventis France 2014
3674 Labor Erythromycin lactobionate - Summary of Product Characteristics
PanPharma 2016
3687 Labor Cefuroxime sodium - Summary of Product Characteristics
Stravencon 2013
3883 Labor Ceftazidime - Résumé des caractéristiques du produit
Arrow 2016
4964 Labor GLUCONATE DE CALCIUM 10 % B.BRAUN, solution pour perfusion - Résumé des caractéristiques du produit.
B BRAUN MELSUNGEN AG 2019

  Mentions Légales