Poslední aktualizace :
18/03/2026
Antibiotikas   Netilmicin sulfate  
Įpurškimas
Aerozolis
Tirpalų stabilumas Mišinių stabilumas Stabilumą lemiantys veiksniai Suderinamumas Leidimo būdai Bibliografija pdf
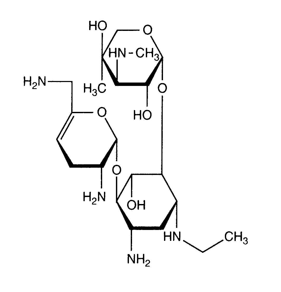
   Cheminė sandara  

Prekinis pavadinimas   Prekinis pavadinimas     

Trade names are indicative and excipients composition can be different depending on the country and manufacturers

Bactob Indija
Beltob Indija
Bramicil Italija
Brulamycin Vengrija
Eltol Indija
Fytobra Indija
Gernebcin Vokietija
Komitub Indija
Nebcin Australija, Didžioji Britanija, Egiptas, Graikija, Jungtiniai Arabų Emyratai, Naujojoje Zelandijoje, Saudo Arabija
Nebcina Danija, Marokas, Norvegija, Švedija
Nebcine Marokas
Nebicina Italija
Netilyn Suomija, Švedija
Netromicina Portugalija
Netromicine Prancūzija
Netromycine Graikija, Lenkija, rusų, Turkija
Nettacin Italija
Obracin Belgija, Liuksemburgas, Olandija, Šveicarija
Tobra Vokietija
Tobra Alex Egiptas
Tobra Day Naujojoje Zelandijoje
Tobra Gobens Ispanija
Tobracin Egiptas
Tobradistin Ispanija
Tobramicina Ispanija, Italija, Portugalija, Venesuela
Tobramina Brazilija
Tobramycin Airija, Australija, Didžioji Britanija, Jungtinės Amerikos Valstijos, Kanada, Norvegija, Saudo Arabija, Vokietija
Tobramycine Airija, Olandija, Prancūzija
Tobrasix Austrija
Tobrazid Vokietija
Tomycin Suomija
Zetamicin Italija
Bibliografija   Įpurškimas   Bibliografija : Netilmicin sulfate  
tipas leidinys
3 Žurnalas Trissel LA, Martinez JF.
Compatibility of amifostine with selected drugs during simulated Y-site administration.
Am J Health-Syst Pharm 1995 ; 52: 2208-2212.
59 Žurnalas Trissel LA, Gilbert DL, Martinez JF, Kim MC.
Compatibility of remifentanil hydrochloride with selected drugs during simulated Y-site administration.
Am J Health-Syst Pharm 1997 ; 54: 2192-2196.
84 Žurnalas Trissel LA, Martinez JF.
Visual, turbidimetric, and particle-content assessment of compatibility of vinorelbine tartrate with selected drugs during simulated Y-site injection.
Am J Hosp Pharm 1994 ; 51: 495-499.
99 Žurnalas Trissel LA, Martinez JF.
Compatibility of aztreonam with selected drugs during simulated Y-site administration.
Am J Health-Syst Pharm 1995 ; 52: 1086-1090.
169 Žurnalas Trissel LA, Martinez JF.
Physical compatibility of melphalan with selected drugs during simulated Y-site administration.
Am J Hosp Pharm 1993 ; 50: 2359-2363.
182 Žurnalas Trissel LA, Gilbert DL, Martinez JF.
Compatibility of granisetron hydrochloride with selected drugs during simulated Y-site administration.
Am J Health-Syst Pharm 1997 ; 54: 56-60.
244 Žurnalas Trissel LA, Martinez JF.
Compatibility of filgrastim with selected drugs during simulated Y-site administration.
Am J Hosp Pharm 1994 ; 51: 1907-1913.
249 Žurnalas Trissel LA, Martinez JF.
Compatibility of thiotepa (lyophilized) with selected drugs during simulated Y-site administration.
Am J Health-Syst Pharm 1996 ; 53: 1041-1045.
251 Žurnalas Trissel LA, Gilbert DL, Martinez JF.
Compatibility of doxorubicin hydrochloride liposome injection with selected other drugs during simulated Y-site administration.
Am J Health-Syst Pharm 1997 ; 54: 2708-2713.
289 Žurnalas Jim LK.
Physical and chemical compatibility of intravenous ciprofloxacin with other drugs.
Ann Pharmacotherapy 1993 ; 27: 704-707.
299 Žurnalas Trissel LA, Martinez JF, Gilbert DL.
Compatibility of cisatracurium besylate with selected drugs during simulated Y-site administration.
Am J Health-Syst Pharm 1997 ; 54: 1735-1741.
300 Žurnalas Trissel LA, Gilbert DL, Martinez JF.
Compatibility of propofol injectable emulsion with selected drugs during simulated Y-site administration.
Am J Health-Syst Pharm 1997 ; 54: 1287-1292.
301 Žurnalas Trissel LA, Gilbert DL, Martinez JF, Baker MB, Walter WV, Mirtallo JM.
Compatibility of parenteral nutrient solutions with selected drugs during simulated Y-site administration.
Am J Health-Syst Pharm 1997 ; 54: 1295-1300.
307 Žurnalas Trissel LA, Martinez JF.
Compatibility of allopurinol sodium with selected drugs during simulated Y-site administration.
Am J Hosp Pharm 1994 ; 51: 1792-1799.
335 Žurnalas Trissel LA, Bready BB, Kwan JW, Santiago NM.
Visual compatibility of sargramostim with selected antineoplasic agents, anti-infectives, or other drugs during simulated Y-site injection.
Am J Hosp Pharm 1992 ; 49: 402-406.
367 Žurnalas Thompson DF, Allen LV, Desai SR, Rao PS.
Compatibility of furosemide with aminoglycoside admixtures.
Am J Hosp Pharm 1985 ; 42: 116-119.
421 Žurnalas Foley PT, Bosso JA, Bair JN, Townsend RJ.
Compatibility of clindamycin phosphate with cefotaxim sodium or netilmicin sulfate in small-volume admixtures.
Am J Hosp Pharm 1985 ; 42: 839-843.
492 Žurnalas Trissel LA, Parks NPT, Santiago NM.
Visual compatibility of fludarabine phosphate with antineoplastic drugs, anti-infectives, and other selected drugs during simulated Y-site injection.
Am J Hosp Pharm 1991 ; 48: 2186-2189.
905 Žurnalas Trissel LA, Martinez JF.
Screening teniposide for Y-site physical incompatibilities.
Hosp Pharm 1994 ; 29: 1010-1017.
921 Žurnalas Trissel LA, Gilbert DL, Martinez JF.
Incompatibility and compatibility of amphotericin B cholesteryl sulfate complex with selected other drugs during simulated Y-site administration.
Hosp Pharm 1998 ; 33: 284-292.
958 Žurnalas Vervloet E, Lammers J, Tan LSL, Van Mourik CH, Rots M.
Netilmicin sulfate stability in combinaison with metronidazole or ranitidine hydrochloride in NaCl 0.9% infusion.
Ann Pharmacotherapy 1990 ; 24: 440-442.
999 Žurnalas Watson D.
Piggyback compatibility of antibiotics with pediatric parenteral nutrition solution.
JPEN 1985 ; 9: 220-224.
1022 Žurnalas Hutchinson SMW.
Heparin and aminoglycosides instability.
Drug Intell Clin Pharm 1986 ; 20: 886.
1035 Žurnalas Bisaillon S, Sarrazin R.
Compatibility of several antibiotics or hydrocortisone when added to metronidazole solution for intravenous infusion.
J Parenter Sci Technol 1983 ; 37: 129-132.
1200 Žurnalas Chaudry IA, Bruey KP, Hurlburt LE, Oden EM.
Compatibility of netilmycin sulfate injection with commonly used intravenous injections and additives.
Am J Hosp Pharm 1981 ; 38: 1737-1742.
1236 Žurnalas Kuhn RJ, Nahata MC.
Stability of netilmicin sulfate in admixtures with calcium gluconate and aminophylline.
Am J Hosp Pharm 1986 ; 43: 1241-1242.
1410 Žurnalas Trissel LA, Martinez JF, Simmons M.
Compatibility of etoposide phosphate with selected drugs during simulated Y-site injection.
J Am Pharm Assoc 1999 ; 39: 141-145.
1415 Žurnalas Trissel L.A, Gilbert D.L, Martinez J.F, Baker M.B, Walter W.V, Mirtallo J.M.
Compatibility of medications with 3-in-1 parenteral nutrition admixtures.
JPEN 1999 ; 23: 67-74.
1423 Žurnalas Trissel LA, Martinez JF, Gilbert DL.
Compatibility of gemcitabine hyrochloride with 107 selected drugs during simulated Y-site injection.
J Am Pharm Assoc 1999 ; 39: 514-518.
1754 Žurnalas Trissel LA, Gilbert DL, Wolkin AC.
Compatibility of docetaxel with selected drugs during simulated Y-site administration.
Int J Pharm Compound 1999 ; 3: 241-244.
1925 Žurnalas Trissel LA , Williams KY, Gilbert DL.
Compatibility screening of linezolid injection during simulated Y-site administration with other drugs and infusion solutions.
J Am Pharm Assoc 2000 ; 40: 515-519.
1929 Žurnalas Rigge DC, Jones MF.
Shelf lives of aseptically prepared medicines - stability of netilmicin injection in polypropylene syringes.
J Pharm Biomed Anal 2004 ; 35: 1251-1256.
2296 Laboratorija Témocilline (Negaban®) - Résumé des caractéristiques du produit
Eumedica 2017
3522 Laboratorija Flucloxacillin - Summary of Product Characteristics.
Actavis 2013
3523 Laboratorija Ceftriaxone (Rocephin®) - Summary of Product Characteristics.
Roche 2018
3526 Laboratorija Clindamycin (Dalacin®) - Summary of Product Characteristics
Pharmacia 2010
3527 Laboratorija Amoxicillin (Amoxil®) – Summary of Product Characteristics
Glaxo Smith Kline 2018
3540 Laboratorija Heparin sodium - Summary of Product Characteristics.
Wockhardt 2010
3543 Laboratorija Ceftazidime – Summary of Product Characteristics
Wockhardt 2013
3544 Laboratorija Cefoperazone (Cefobid®) - Summary of Product Characteristics
Pfizer 2006
3545 Laboratorija Amoxicilline / acide clavulanique - Résumé des caractéristiques du produit
Mylan SAS 2009
3546 Laboratorija Cefamandole Flavelab - Résumé des caractéristiques du produit
Panpharma SA 2007
3548 Laboratorija Cefepime (Maxipime®) - Summary of Product caracteristics.
Bristol Myers Squibb 2007
3578 Laboratorija Cisplatin - Summary of Product Characteristics
Accord Healthcare 2011
3586 Laboratorija Piperacilline tazobactam Actavis® - Résumé des caractéristiques du produit
Actavis France 2010
3587 Laboratorija Ticarcilline/acide clavulanique (Timentin®) - Summary of Product Characteristics
GlaxoSmithKline 2014
3594 Laboratorija Metronidazole (Flagyl®) - Summary of Product Characteristics
Zentiva 2013
3644 Laboratorija Calcium gluconate® - Summary of Product Characteristics
Hameln Pharmaceuticals 2010
3656 Laboratorija Teicoplanine (Targocid®) - Résumé des caractéristiques du produit
Sanofi Aventis France 2014
3674 Laboratorija Erythromycin lactobionate - Summary of Product Characteristics
PanPharma 2016
3687 Laboratorija Cefuroxime sodium - Summary of Product Characteristics
Stravencon 2013
3883 Laboratorija Ceftazidime - Résumé des caractéristiques du produit
Arrow 2016
4964 Laboratorija GLUCONATE DE CALCIUM 10 % B.BRAUN, solution pour perfusion - Résumé des caractéristiques du produit.
B BRAUN MELSUNGEN AG 2019

  Mentions Légales