Останнє оновлення :
18/03/2026
Антикоагулянти   Heparin sodium  
ін'єкція
Стійкість в розчинах Стійкість сумішей Фактори, що впливають на стабільність Сумісність Шлях введення Список літератури pdf
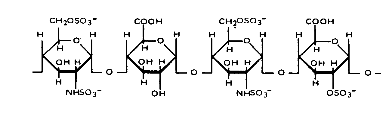
   Хімічна структура  

Торгова назва   Торгова назва     

Торгові назви є орієнтовними, а склад допоміжних речовин може бути різним залежно від країни та виробника

Arapin Чилі
Ateroclar Італія
Clarisco Італія
Epsoclar Італія
Hepaflex Норвегія, Фінляндія
Hepamax Еквадор, Колумбія, Чилі
Heparin Австрія, Великобританія, Греція, Данія, Канада, Нідерланди, Норвегія, Південно-Африканська Республіка, російський, Сербія, Сполучені Штати Америки, Таїланд, Туреччина, Угорщина, Фінляндія, Швейцарія, Швеція
Heparine Бельгія, Франція
Heparinised Австралія
Heparstad Німеччина
Liquemin Туреччина, Швейцарія
Liquemine Бразилія
Monoparin Саудівська Аравія
Normoparin Італія
Nuparin Еквадор
Pharepa Італія
Riveparin Аргентина
Sobrius Аргентина, Еквадор
Thrombophob Німеччина
Шлях введення   Шлях введення :Heparin sodium     
Маршрут
Внутрішньовенне
Безперервна інфузія

  Mentions Légales