viimane versioon :
18/03/2026
antikoagulant   Heparin sodium  
Süsteravim
Stabiilsus lahustes Stabiilsust mõjutavad tegurid stabiilsust mõjutavad faktorid Sobimatus Manustamis viis Viited pdf
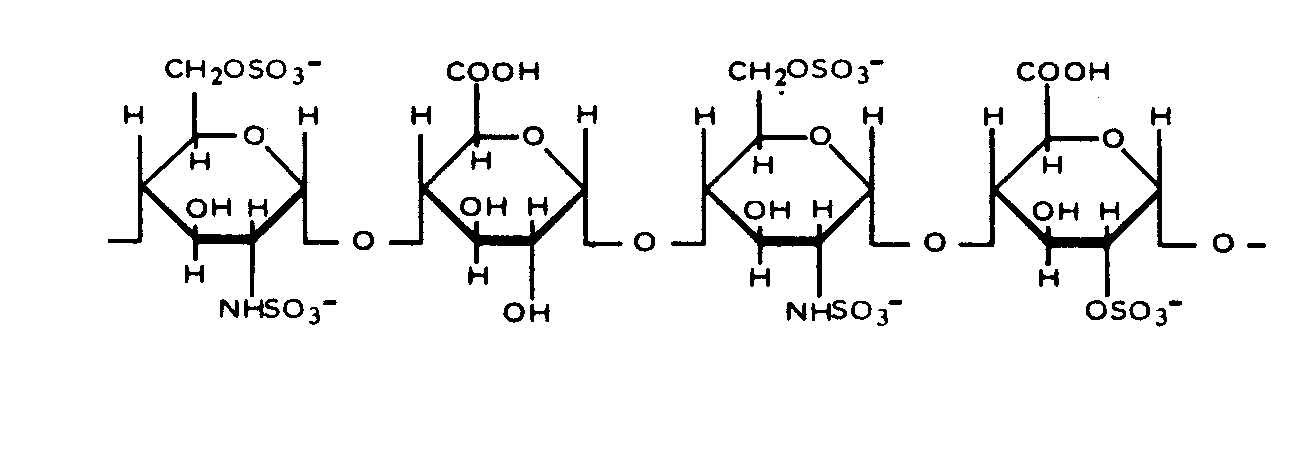
   keemiline struktuur  

Kaubanduslikud nimed erinevates maades   Kaubanduslikud nimed erinevates maades     

Preparaatide nimed on näitlikud ja abianete sisaldus võib erineda sõltuvalt riigist ja laborist

Arapin Tšiili
Ateroclar Itaalia
Clarisco Itaalia
Epsoclar Itaalia
Hepaflex Norra, Soome
Hepamax Ecuador, Kolumbia, Tšiili
Heparin Ameerika ühendriigid, Austria, Holland, Jugoslaavia, Kanada, Kreeka, Lõuna Aafrika Vabariik, Norra, Rootsi, Soome, Suurbritannia, Sveits, Taani, Tai, Türgi, Ungari, vene
Heparine Belgia, Prantsusmaa
Heparinised Austraalia
Heparstad Saksamaa
Liquemin Sveits, Türgi
Liquemine Brasiilia
Monoparin Saudi Araabia
Normoparin Itaalia
Nuparin Ecuador
Pharepa Itaalia
Riveparin Argentiina
Sobrius Argentiina, Ecuador
Thrombophob Saksamaa
Manustamis viis   Manustamis viis :Heparin sodium     
Voie
intravenoosne
pidevinfusioon

  Mentions Légales