Poslední aktualizace :
18/03/2026
Antikoagulans   Heparin sodium  
injekce
Stabilita roztoků Stabilita směsí Faktory ovlivňující stabilitu Kompatibilita Způsoby aplikace Odkazy pdf
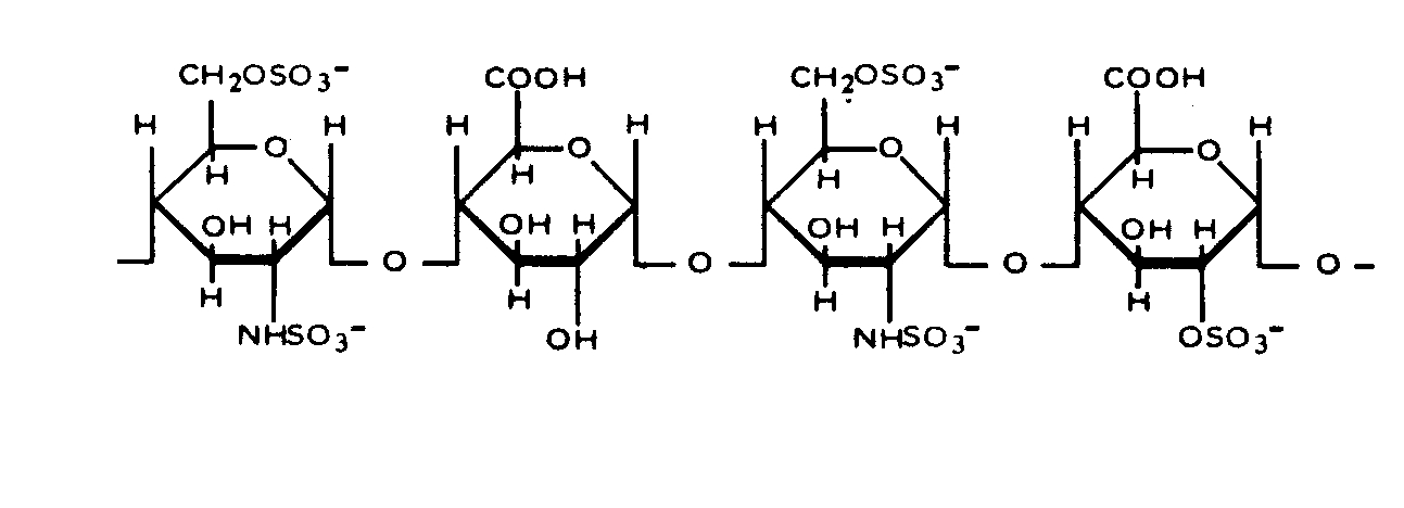
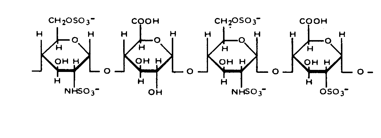
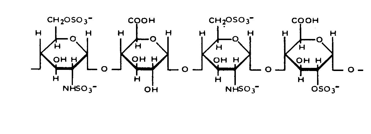
   Chemický vzorec  

Obchodní název   Obchodní název     

Trade names are indicative and excipients composition can be different depending on the country and manufacturers

Arapin Chile
Ateroclar Itálie
Clarisco Itálie
Epsoclar Itálie
Hepaflex Finsko, Norsko
Hepamax Chile, Ekvádor, Kolumbie
Heparin Dánsko, Finsko, Jihoafrická republika, Jugoslávie, Kanada, MaÔarsko, Nizozemsko, Norsko, Rakousko, rusky, Švédsko, Švýcarsko, Thajsko, Turecko, USA, Velká Británie, ÿecko
Heparine Belgie, Francie
Heparinised Austrálie
Heparstad NÏmecko
Liquemin Švýcarsko, Turecko
Liquemine BrazÌlie
Monoparin Saúdská Arábie
Normoparin Itálie
Nuparin Ekvádor
Pharepa Itálie
Riveparin Argentina
Sobrius Argentina, Ekvádor
Thrombophob NÏmecko
Způsoby aplikace   Způsoby aplikace :Heparin sodium     
Voie
intravenÛznÏ
Kontinuální infúze

  Mentions Légales