Ultimo aggiornamento :
03/02/2026
Anticoagulante   Heparin sodium  
Iniezione
Stabilità in soluzione Stabilità in miscela Fattori che influenzano la stabilità Compatibilità metodo di iniezione Bibliografia pdf
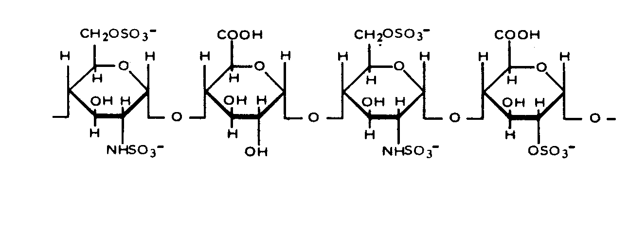
   Struttura chimica  

Nome commerciale   Nome commerciale     

Trade names are indicative and excipients composition can be different depending on the country and manufacturers

Arapin Chile
Ateroclar Italia
Clarisco Italia
Epsoclar Italia
Hepaflex Finlandia, Norvegia
Hepamax Chile, Colombia, Ecuador
Heparin Africa del Sud, Austria, Canada, Danimarca, Finlandia, Gran Bretagna, Grecia, Iugoslavia, Norvegia, Paesi Bassi, russo, Stati Uniti d’America, Svezia, Svizzera, Tailandia, Turchia, Ungheria
Heparine Belgio, Francia
Heparinised Australia
Heparstad Germania
Liquemin Svizzera, Turchia
Liquemine Brasile
Monoparin Arabia Saudita
Normoparin Italia
Nuparin Ecuador
Pharepa Italia
Riveparin Argentina
Sobrius Argentina, Ecuador
Thrombophob Germania
metodo di iniezione   metodo di iniezione :Heparin sodium     
Voie
Endovenosa
Flebo continua

  Mentions Légales