Siste oppdatering :
27/11/2025
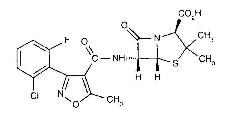
Antibiotika   Flucloxacillin sodium  
Injeksjon
Oppløsningsstabilitet Stabilitet i blandinger Faktorer som påvirker stabiliteten Kompatibilitet Administrasjonsmåte Referanser pdf
   Kjemisk struktur  

Handelsnavn   Handelsnavn     

Handelsnavn er veiledende og sammensetning av hjelpestoffer kan være forskjellig avhengig av land og produsent

Astaph Marokko
Betabiotic Italia
DBL flucloxacillin sodium Australia
Flix Tyrkia
Floxam Marokko
Floxapen Belgia, Italia, Marokko, Nederland, Polen, Portugal, Saudi-Arabia, Sveits, USA, Østerrike
Flucloxacillin Australia, Italia, Storbritannia, Tyskland
Flucloxacilline Belgia, Frankrike, Nederland
Flucloxin New Zealand
Ladropen USA
Stafoxil Nederland
Staphylex Tyskland
Stabilitet i blandinger   Injeksjon   Stabilitet i blandinger : Flucloxacillin sodium     
Ingen opplysninger

  Mentions Légales