Seneste opdatering :
27/11/2025
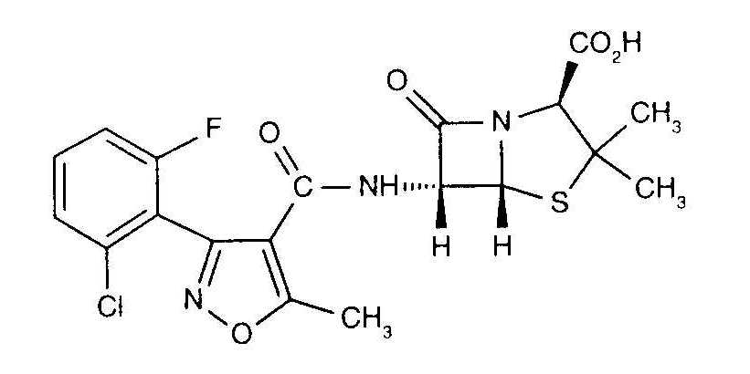
Antibiotisk   Flucloxacillin sodium  
Injektion
Stabilitet i (vandige) opløsninger Stabilitet i blandinger Faktorer der påvirker stabiliteten Kompatibilitet Administrationsvej Bibliografi pdf
   Kemisk struktur  

Handelsnavn   Handelsnavn     

Handel navne er vejledende og hjælpestoffer sammensætning kan være forskellig afhængigt af landet og laboratorier

Astaph Marokko
Betabiotic Italien
DBL flucloxacillin sodium Australien
Flix Tyrkiet
Floxam Marokko
Floxapen Belgien, Holland, Italien, Marokko, Polen, Portugal, Saudi-Arabien, Schweiz, USA, Østrig
Flucloxacillin Australien, Italien, Storbritanien, Tyskland
Flucloxacilline Belgien, Frankrig, Holland
Flucloxin New Zealand
Ladropen USA
Stafoxil Holland
Staphylex Tyskland
Stabilitet i blandinger   Injektion   Stabilitet i blandinger : Flucloxacillin sodium     
Ingen data

  Mentions Légales