Pēdējā atjaunošana :
27/11/2025
Antibiotika   Flucloxacillin sodium  
Injekcija
Šķīduma stabilitāte Maisījuma stabilitāte Stabilitāti ietekmējoši faktori Saderība Levadīšanas veids Literatūras saraksts pdf
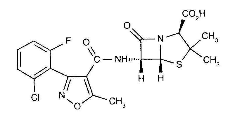
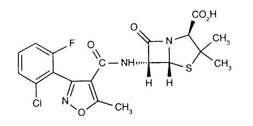
   Ķīmiskā uzbūve   

Oriģinālais nosaukums   Oriģinālais nosaukums     

Tirdzniecības nosaukumi ir apzīmējoši un palīgvielas var atšķirties dažādām valstīm un laboratorijām

Astaph Maroka
Betabiotic Itālija
DBL flucloxacillin sodium Austrālija
Flix Turcija
Floxam Maroka
Floxapen Amerikas Savienotās Valstis, Austrija, Beļģija, Holande, Itālija, Maroka, Polija, Portugāle, Saūda Arābija, Šveice
Flucloxacillin Austrālija, Itālija, Lielbritānija, Vācija
Flucloxacilline Beļģija, Francija, Holande
Flucloxin Jaunzēlande
Ladropen Amerikas Savienotās Valstis
Stafoxil Holande
Staphylex Vācija
Maisījuma stabilitāte   Injekcija   Maisījuma stabilitāte : Flucloxacillin sodium     
Nav datu

  Mentions Légales