Senaste uppdateringen :
05/12/2025
Kardiotonikum   Digoxin  
injektion
Lösningars stabilitet Stabilitet i blandningar Faktorer som påverkar stabiliteten Kompatibilitet Administreringssätt Hänvisningar pdf
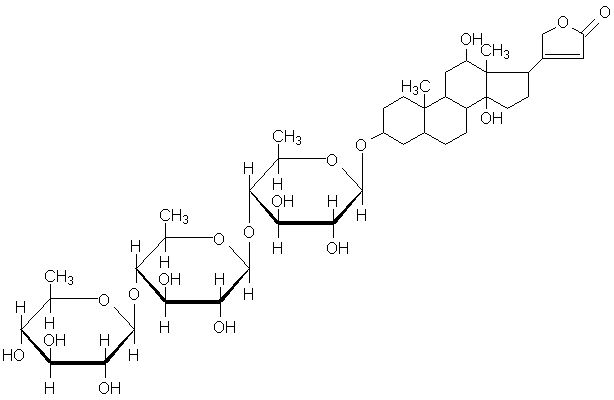
   Molekylstruktur  

Varunamn   Varunamn     

Angivna handelsnamn på läkemedel är enbart vägledande då formulering inklusive hjälpämnen kan variera mellan länder och tillverkare

Cardixin Egypten
Celoxin Indien
Digibind Förenta Staterna, nya Zeeland
Digocard Argentina, Ecuador
Digosin Japan
Digoxin Argentina, Danmark, Ecuador, Finland, Förenta Staterna, Iran, Kanada, Polen, Storbritannien, Sverige, Ungern
Digoxina Argentina, Ecuador, Mexiko, Spanien, Venezuela
Digoxine Frankrike, Grekland, Schweiz
Geoxin Indien
Lanibos Saudi-Arabien
Lanicor Tyskland
Lanoxin Belgien, Chile, Egypten, Förenade Arabemiraten, Förenta Staterna, Iran, Irland, Italien, Luxemburg, Malaysia, Nederländerna, Norge, nya Zeeland, Portugal, Saudi-Arabien, Storbritannien
Loxinan Mexiko
Lösningars stabilitet   injektion   Lösningars stabilitet : Digoxin     
Behållare Lösningsmedel Koncentration Temperatur Förvaring Stabilitets varaktighet Hänvisningar
Glas Natriumklorid 0,9 % 2,5 µg/ml 23-26°C Ljus
48 Timma
618
Biologisk analys

Glas Natriumklorid 0,9 % 2,5 µg/ml 4°C Skyddas från ljus
48 Timma
618
Biologisk analys

Glas Natriumklorid 0,9 % 50 µg/ml 23-27°C Ljus
180 Dag
4690
Evidensnivå B+

Glas Natriumklorid 0,9 % 50 µg/ml 3-7°C Ljus
180 Dag
4690
Evidensnivå B+

Glas Glukos 5 % 2,5 µg/ml 23-26°C Ljus
48 Timma
618
Biologisk analys

Glas Glukos 5 % 2,5 µg/ml 4°C Skyddas från ljus
48 Timma
618
Biologisk analys

Glas Ringer-laktatlösning 2,5 µg/ml 23°C-26°C Ljus
6 Timma
618
Biologisk analys


  Mentions Légales