最新更新 :
05/12/2025
强心剂   Digoxin  
注射液
溶液稳定性 混合物稳定性 影响稳定性的因素 兼容性 用药途径 引用文献 PDF
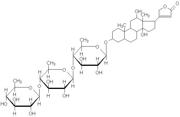
   化学式  

商品名   商品名     

商品名仅供参考, 药品所用的辅料可能依国家或厂商不同有所不同。

Cardixin 埃及
Celoxin 印度
Digibind 新西蘭, 美国
Digocard 厄瓜多尔, 阿根廷
Digosin 日本
Digoxin 丹麦, 伊朗, 加拿大, 匈牙利, 厄瓜多尔, 波兰, 瑞典, 美国, 芬兰, 英国, 阿根廷
Digoxina 厄瓜多尔, 墨西哥, 委内瑞拉, 西班牙, 阿根廷
Digoxine 希腊, 法国, 瑞士
Geoxin 印度
Lanibos 沙特阿拉伯
Lanicor 德国
Lanoxin 伊朗, 卢森堡, 埃及, 意大利, 挪威, 新西蘭, 智利, 比利时, 沙特阿拉伯, 爱尔兰, 美国, 英国, 荷兰, 葡萄牙, 阿联酋, 马来西亚
Loxinan 墨西哥
溶液稳定性   注射液   溶液稳定性 : Digoxin     
容器 溶剂 浓度 温度 保存 穩定持續時間 引用文献
玻璃 NaCl 0,9% 2,5 µg/ml 23-26°C 光
48 小时
618
生物检测

玻璃 NaCl 0,9% 2,5 µg/ml 4°C 避光
48 小时
618
生物检测

玻璃 NaCl 0,9% 50 µg/ml 23-27°C 光
180 白天
4690
B+级

玻璃 NaCl 0,9% 50 µg/ml 3-7°C 光
180 白天
4690
B+级

玻璃 葡萄糖5% 2,5 µg/ml 23-26°C 光
48 小时
618
生物检测

玻璃 葡萄糖5% 2,5 µg/ml 4°C 避光
48 小时
618
生物检测

玻璃 Ringer乳酸溶液 2,5 µg/ml 23°C-26°C 光
6 小时
618
生物检测


  Mentions Légales