Laatste update :
18/03/2026
Cardiotonicum   Digoxin  
injecteerbaar geneesmiddel
Stabiliteit in oplossing Stabiliteit in mengsels Factoren die de stabiliteit beïnvloeden Verenigbaarheden Toedieningswijze Literatuur pdf
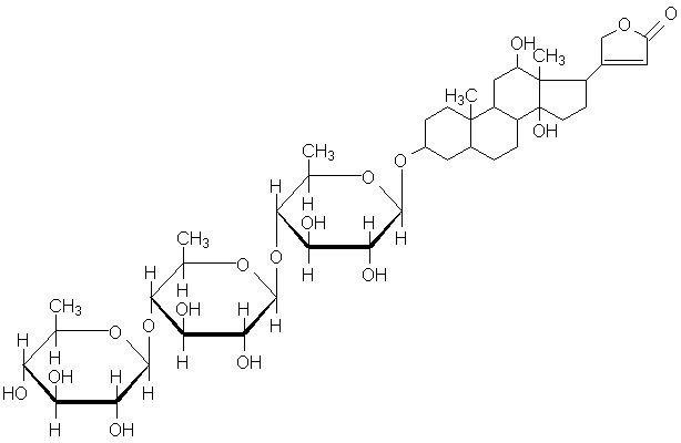
   Molecuulstructuur  

Merknamen in verschillende landen   Merknamen in verschillende landen     

Handelsnamen zijn slechts een indicatie; de samenstelling van hulpstoffen kan per land variëren afhankelijk van de fabrikant

Cardixin Egypte
Celoxin Indië
Digibind nieuw Zeeland, USA
Digocard Argentinië, Ecuador
Digosin Japan
Digoxin Argentinië, Canada, Denemarken, Ecuador, Finland, Groot Britannië, Hongarije, Iran, Polen, USA, Zweden
Digoxina Argentinië, Ecuador, Mexico, Spanje, Venezuela
Digoxine Frankrijk, Griekenland, Zwitserland
Geoxin Indië
Lanibos Saudi-Arabië
Lanicor Duitsland
Lanoxin België, Chili, Egypte, Groot Britannië, Ierland, Iran, Italië, Luxemburg, Maleisië, Nederland, nieuw Zeeland, Noorwegen, Portugal, Saudi-Arabië, USA, Verenigde Arabische Emiraten
Loxinan Mexico
Stabiliteit in oplossing   injecteerbaar geneesmiddel   Stabiliteit in oplossing : Digoxin     
Verpakking Oplosmiddel Concentratie Temperatuur Bewaring Duur van de stabiliteit Literatuur
Glas Natriumchloride 0,9% 2,5 µg/ml 23-26°C Licht
48 Uur
618
Biologische analyse

Glas Natriumchloride 0,9% 2,5 µg/ml 4°C Buiten invloed van licht
48 Uur
618
Biologische analyse

Glas Natriumchloride 0,9% 50 µg/ml 23-27°C Licht
180 Dag
4690
Niveau van bewijs B+

Glas Natriumchloride 0,9% 50 µg/ml 3-7°C Licht
180 Dag
4690
Niveau van bewijs B+

Glas Glucose 5% 2,5 µg/ml 23-26°C Licht
48 Uur
618
Biologische analyse

Glas Glucose 5% 2,5 µg/ml 4°C Buiten invloed van licht
48 Uur
618
Biologische analyse

Glas Ringer-lactaat 2,5 µg/ml 23°C-26°C Licht
6 Uur
618
Biologische analyse


  Mentions Légales