zadnja posodobitev :
05/12/2025
Kardiotonik   Digoxin  
Brizgalka
Stabilnost raztopine Stabilnost mešanice Faktorji, ki vplivajo na stabilnost Kompatibilnost način aplikacije Viri pdf
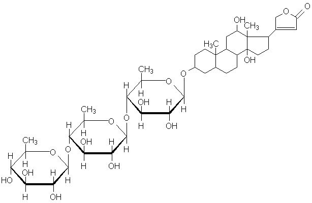
   Kemična formula  

Lastniško ime   Lastniško ime     

Sestava pomožnih snovi je med paralelami lahko različna

Cardixin Egipt
Celoxin Indija
Digibind nova Zelandija, Združene države Amerike
Digocard Argentina, Ekvador
Digosin Japonska
Digoxin Argentina, Danska, Ekvador, Finska, Iran, Kanada, Madžarska, Poljska, Švedska, Velika Britanija, Združene države Amerike
Digoxina Argentina, Ekvador, Mehika, Španija, Venezuela
Digoxine Francija, Grčija, Švica
Geoxin Indija
Lanibos Savdska Arabija
Lanicor Nemčija
Lanoxin Belgija, Čile, Egipt, Iran, Irska, Italija, Luksemburg, Malezija, Nizozemska, Norveška, nova Zelandija, Portugalska, Savdska Arabija, Velika Britanija, Združene države Amerike, Združeni arabski emirati
Loxinan Mehika
Stabilnost raztopine   Brizgalka   Stabilnost raztopine : Digoxin     
Vsebnik Topilo Koncentracija Temperatura Shranjevanje Trajanje stabilnosti Viri
Steklo Natrijev klorid 0,9% 2,5 µg/ml 23-26°C Svetloba
48 čas
618
biološka analiza

Steklo Natrijev klorid 0,9% 2,5 µg/ml 4°C Zaščiteno pred svetlobo
48 čas
618
biološka analiza

Steklo Natrijev klorid 0,9% 50 µg/ml 23-27°C Svetloba
180 Dan
4690
 Stopnja dokaza B+

Steklo Natrijev klorid 0,9% 50 µg/ml 3-7°C Svetloba
180 Dan
4690
 Stopnja dokaza B+

Steklo Glukoza 5% 2,5 µg/ml 23-26°C Svetloba
48 čas
618
biološka analiza

Steklo Glukoza 5% 2,5 µg/ml 4°C Zaščiteno pred svetlobo
48 čas
618
biološka analiza

Steklo Ringerjev laktat 2,5 µg/ml 23°C-26°C Svetloba
6 čas
618
biološka analiza


  Mentions Légales