Ostatnia aktualizacja :
18/03/2026
Lek kardiotoniczny   Digoxin  
Injekcje
Trwałość roztworów Trwałość w mieszaninie Czynnik wpływający na trwałość Zgodność Sposób podania Bibliografia pdf
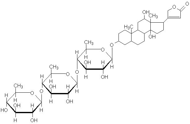
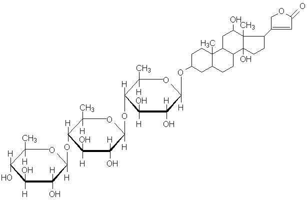
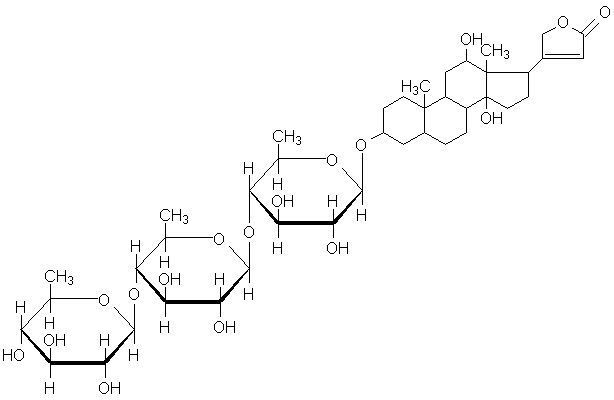
   Struktura chemiczna  

Nazwa handlowa   Nazwa handlowa     

Trade names are indicative and excipients composition can be different depending on the country and manufacturers

Cardixin Egipt
Celoxin Indie
Digibind nowa Zelandia, Stany Zjednoczone Ameryki
Digocard Argentyna, Ekwador
Digosin Japonia
Digoxin Argentyna, Dania, Ekwador, Finlandia, Iran, Kanada, Polska, Stany Zjednoczone Ameryki, Szwecja, Węgry, Wielka Brytania
Digoxina Argentyna, Ekwador, Hiszpania, Meksyk, Wenezuela
Digoxine Francja , Grecja, Szwajcaria
Geoxin Indie
Lanibos Arabia Saudyjska
Lanicor Niemcy
Lanoxin Arabia Saudyjska, Belgia, Chile, Egipt, Holandia, Iran, Irlandia, Luksemburg, Malezja, Norwegia, nowa Zelandia, Portugalia, Stany Zjednoczone Ameryki, Wielka Brytania, Włochy, Zjednoczone Emiraty Arabskie
Loxinan Meksyk

Czynnik wpływający na trwałość   Injekcje   Czynnik wpływający na trwałość : Digoxin        

  Mentions Légales