最新更新 :
18/03/2026
強心薬   Digoxin  
注射薬
溶媒内の安定性 混合時の安定性 安定性に影響する因子 互換性 投与経路 引用文献 PDF
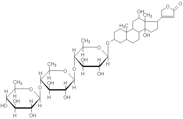
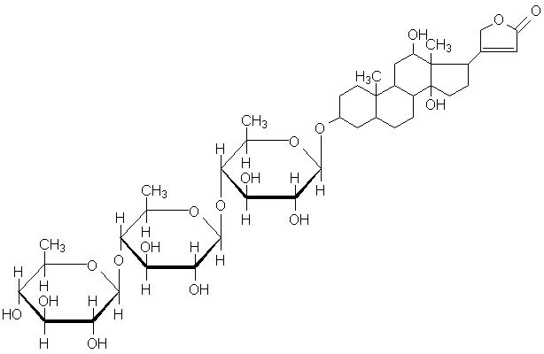
   化学構造  

商品名   商品名     

商品名、賦形剤は国、製薬会社ごとに異なることがあります

Cardixin エジプト
Celoxin インド
Digibind アメリカ, ニュージーランド
Digocard アルゼンチン, エクアドル
Digosin 日本
Digoxin アメリカ, アルゼンチン, イギリス, イラン, エクアドル, カナダ, スウェーデン, デンマーク, ハンガリー, フィンランド, ポーランド
Digoxina アルゼンチン, エクアドル, スペイン, ベネズエラ, メキシコ
Digoxine ギリシア, スイス, フランス
Geoxin インド
Lanibos サウジアラビア
Lanicor ドイツ
Lanoxin アイルランド, アメリカ, アラブ首長国連邦, イギリス, イタリア, イラン, エジプト, オランダ, サウジアラビア, チリ, ニュージーランド, ノルウェー, ベルギー, ポルトガル, マレーシア, ルクセンブルグ
Loxinan メキシコ

安定性に影響する因子   注射薬   安定性に影響する因子 : Digoxin        

  Mentions Légales