最新更新 :
18/03/2026
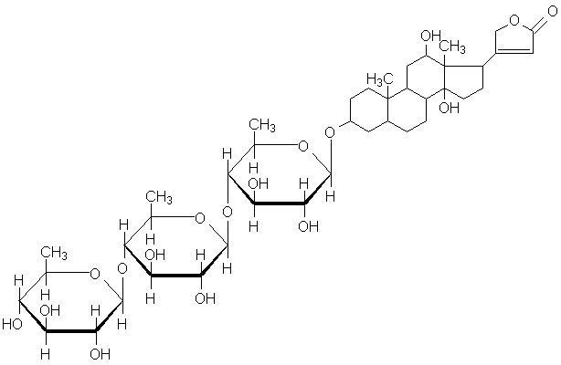
强心剂   Digoxin  
注射液
溶液稳定性 混合物稳定性 影响稳定性的因素 兼容性 用药途径 引用文献 PDF
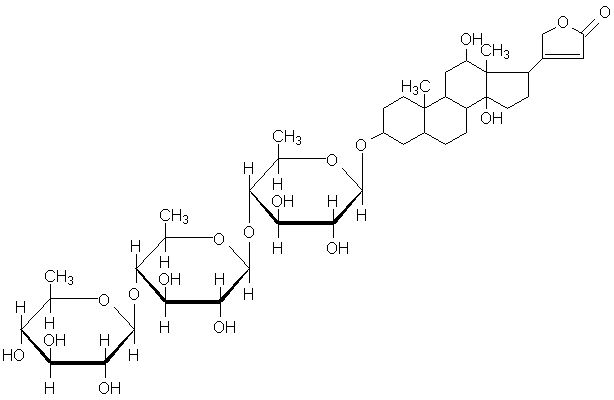
   化学式  

商品名   商品名     

商品名仅供参考, 药品所用的辅料可能依国家或厂商不同有所不同。

Cardixin 埃及
Celoxin 印度
Digibind 新西蘭, 美国
Digocard 厄瓜多尔, 阿根廷
Digosin 日本
Digoxin 丹麦, 伊朗, 加拿大, 匈牙利, 厄瓜多尔, 波兰, 瑞典, 美国, 芬兰, 英国, 阿根廷
Digoxina 厄瓜多尔, 墨西哥, 委内瑞拉, 西班牙, 阿根廷
Digoxine 希腊, 法国, 瑞士
Geoxin 印度
Lanibos 沙特阿拉伯
Lanicor 德国
Lanoxin 伊朗, 卢森堡, 埃及, 意大利, 挪威, 新西蘭, 智利, 比利时, 沙特阿拉伯, 爱尔兰, 美国, 英国, 荷兰, 葡萄牙, 阿联酋, 马来西亚
Loxinan 墨西哥

影响稳定性的因素   注射液   影响稳定性的因素 : Digoxin        

  Mentions Légales